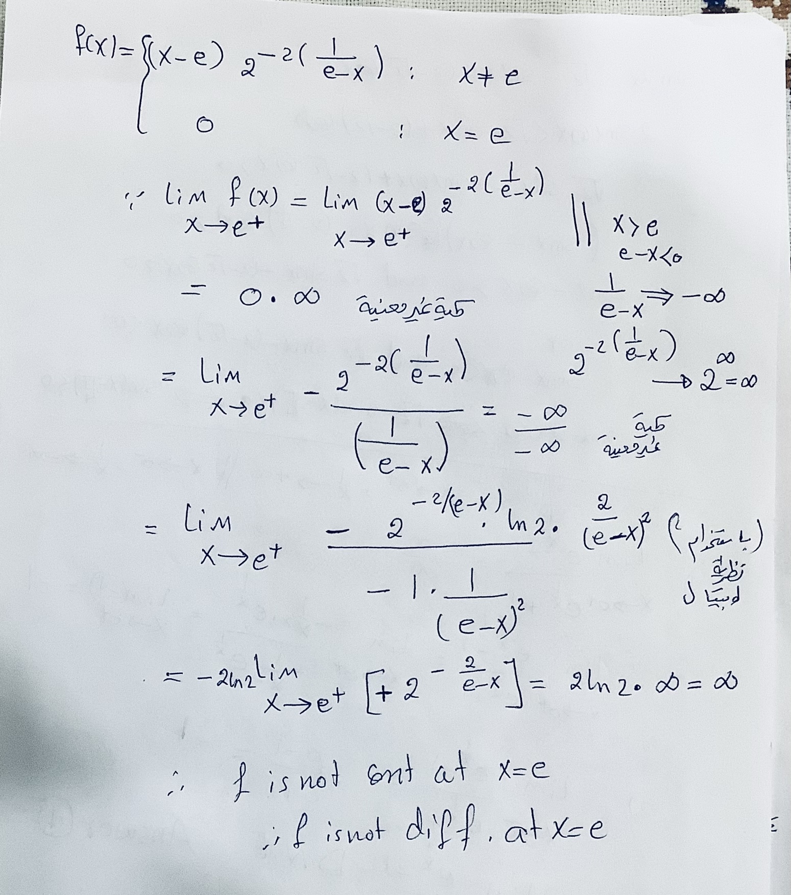
رد: Multiple choice (Continuity and Differentiated
////////////////////??????????
رد: Multiple choice (Continuity and Differentiated
رد: Multiple choice (Continuity and Differentiated
رد: Multiple choice (Continuity and Differentiated
رد: Multiple choice (Continuity and Differentiated
رد: Multiple choice (Continuity and Differentiated
رد: Multiple choice (Continuity and Differentiated
رد: Multiple choice (Continuity and Differentiated
رد: Multiple choice (Continuity and Differentiated
رد: Multiple choice (Continuity and Differentiated
رد: Multiple choice (Continuity and Differentiated
رد: Multiple choice (Continuity and Differentiated