عرض للطباعة
https://alnasiry.net/forums//uploaded/2_60mc27.jpg
https://alnasiry.net/forums//uploade...c0f3c9310.jpeg
https://alnasiry.net/forums//uploaded/2_60mc27ansa.jpg https://alnasiry.net/forums//uploaded/2_60mc27ansb.png
https://alnasiry.net/forums//uploaded/2_60mc28.jpg
https://alnasiry.net/forums//uploade...fdf2b4444.jpeg
https://alnasiry.net/forums//uploaded/2_60mc29.jpg
URL="https://alnasiry.net/forums/"]https://alnasiry.net/forums//uploade...1643221223.jpg[/URL]
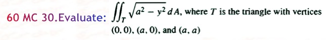
https://alnasiry.net/forums//uploaded/2_60mc30.jpg
https://alnasiry.net/forums//uploade...7c5fd39be.jpeg
https://alnasiry.net/forums//uploade...9df470834.jpeg
https://alnasiry.net/forums//uploaded/2_mu13.gif
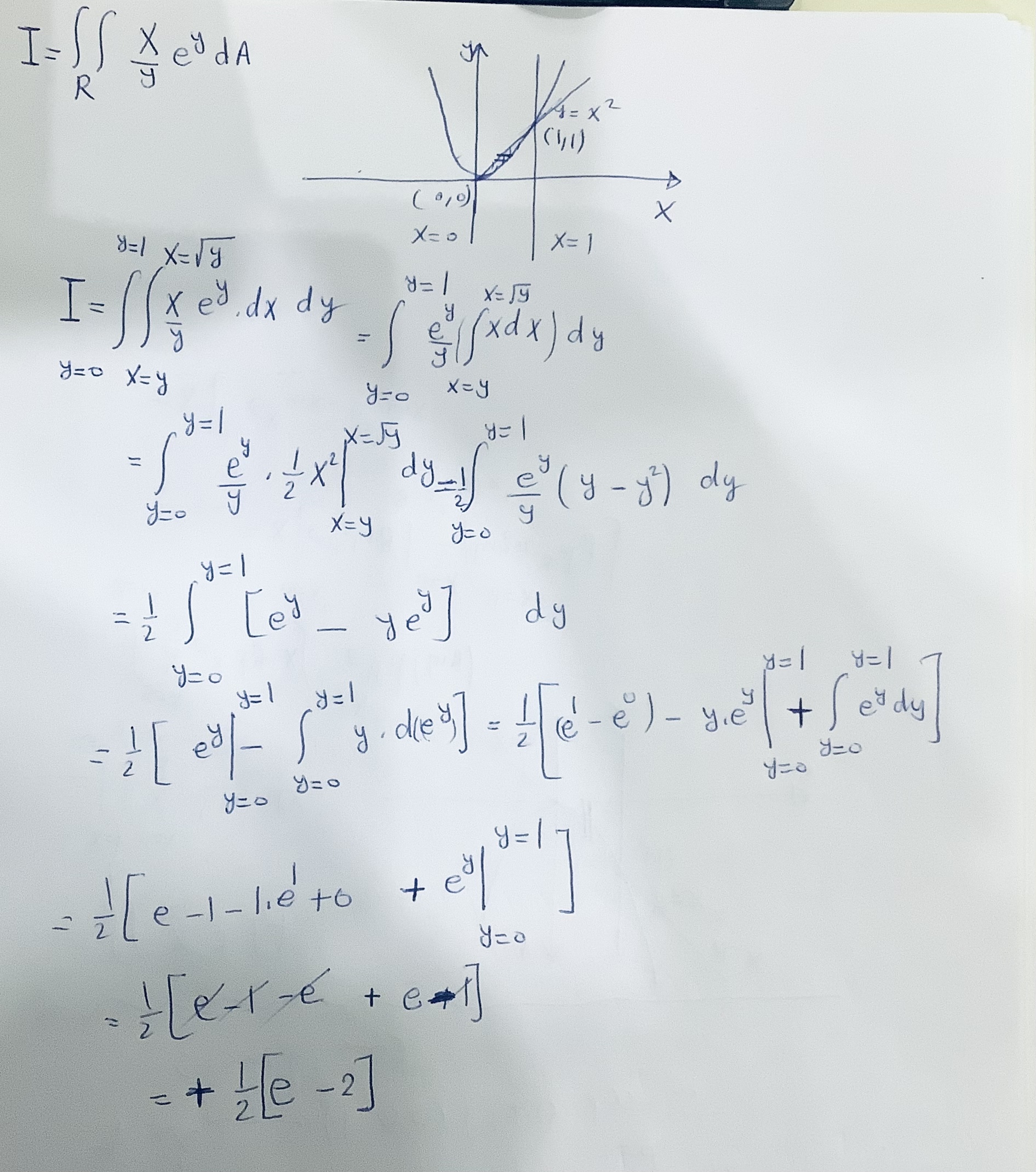
https://alnasiry.net/forums//uploaded/2_60mc30sol.jpg