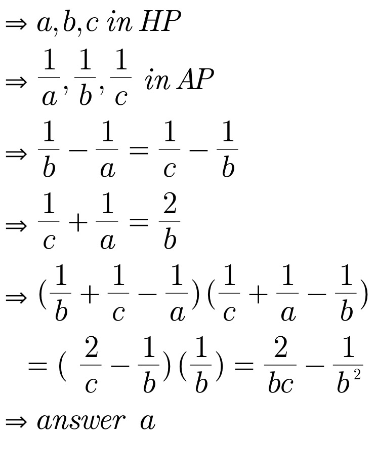
السلام عليكم ورحمة الله https://alnasiry.net/forums/uploaded...f1c97e537.jpeg
عرض للطباعة
السلام عليكم ورحمة الله https://alnasiry.net/forums/uploaded...f1c97e537.jpeg
السلام عليكم ورحمة الله
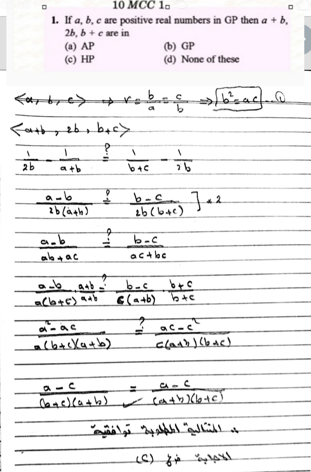
https://alnasiry.net/forums//uploade...1633335295.jpg
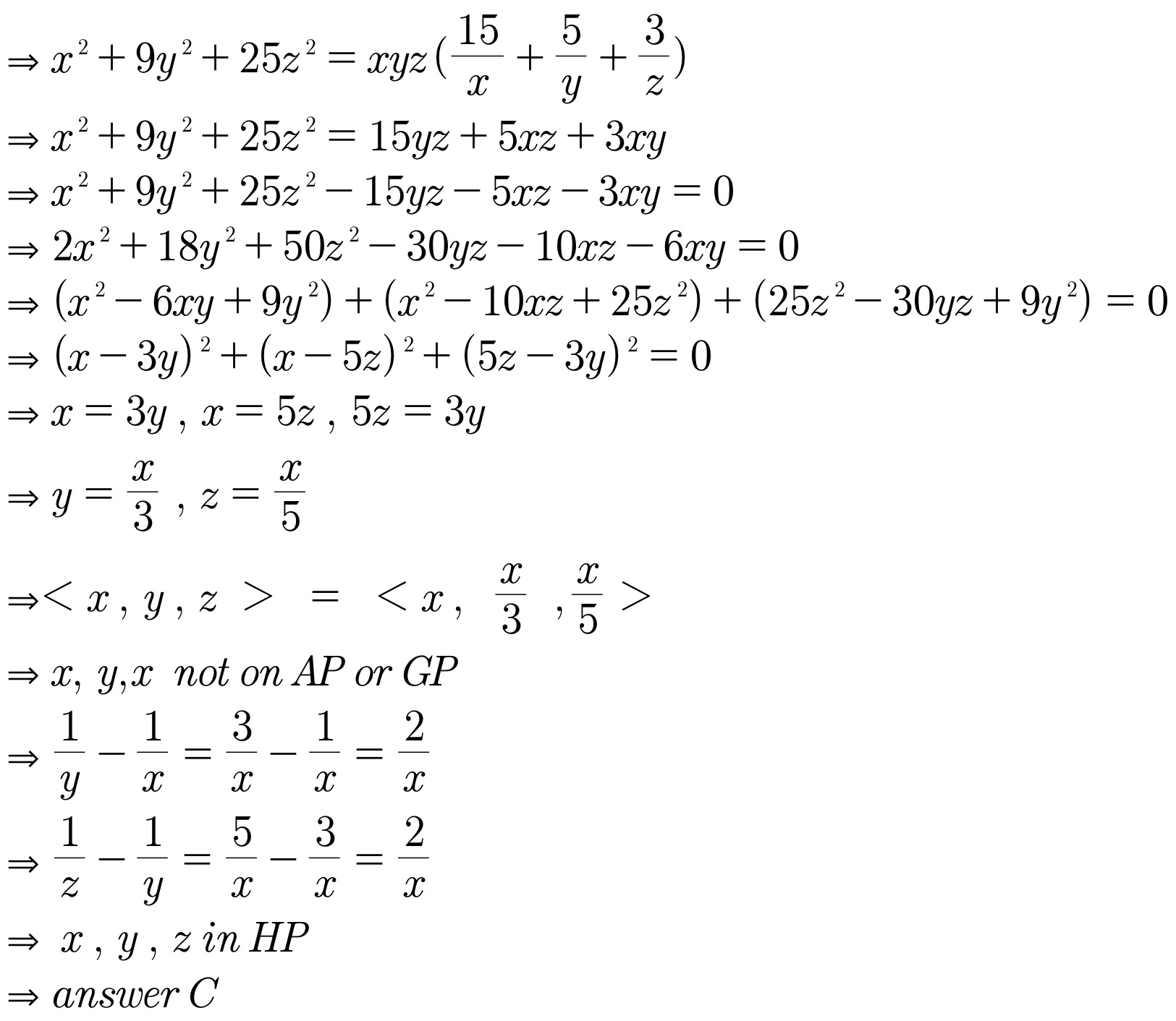
https://alnasiry.net/forums//uploaded/2_10mcc03.jpg
ايضاح:
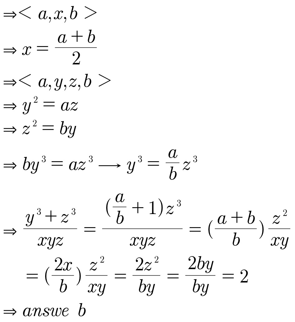
x وسطا حسابيا بين عددي موجبين
y. , z وسطين هندسيين بين نفس العددين الموجبين.....
المدخل من الصفر: لتكون معرفة الموضوع متدرجة
https://alnasiry.net/forums//uploaded/2_10sq1.jpg