https://alnasiry.net/forums/uploaded...f7f2aace4.jpeg
عرض للطباعة
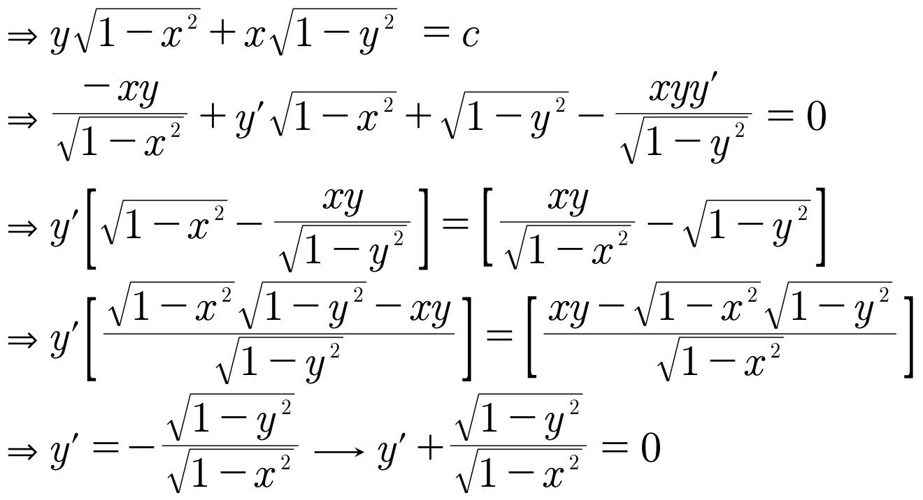
للنفي نكتفي بمثال. ينقض صحة العبارة اختبرها عند Theta=0 تجدها خاطئة لذا العبارة خطأ
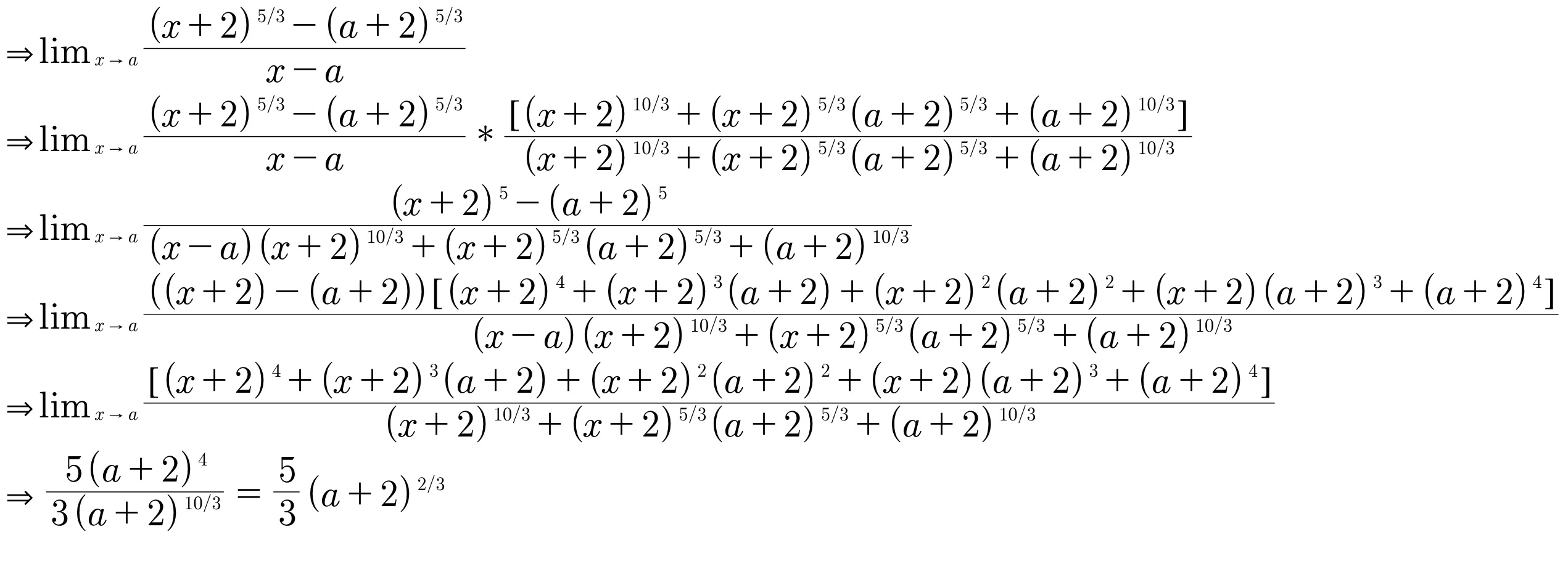
بعد الحلول الرائعة من استاذنا القدير (صلاح احمد)
الحل بطريقتين الاولى المطولة
والثانية باستخدام القسمة بعد عرضها من قبل استاذنا الكبير (كامل الناصري)
https://alnasiry.net/forums/uploaded/15125_syth1.png
هناك طريقه ثالثه بفتح اقواس الطرف الايمن كمفكوك ذي الحدين ومقارنة الحدود نحصل على مجموعة معادلات بدلالة a,b,c,d,e,f