عرض للطباعة
السلام عليكم
ملف مرفق 1088
السلام عليكم
ملف مرفق 1089
السلام عليكم
ملف مرفق 1090
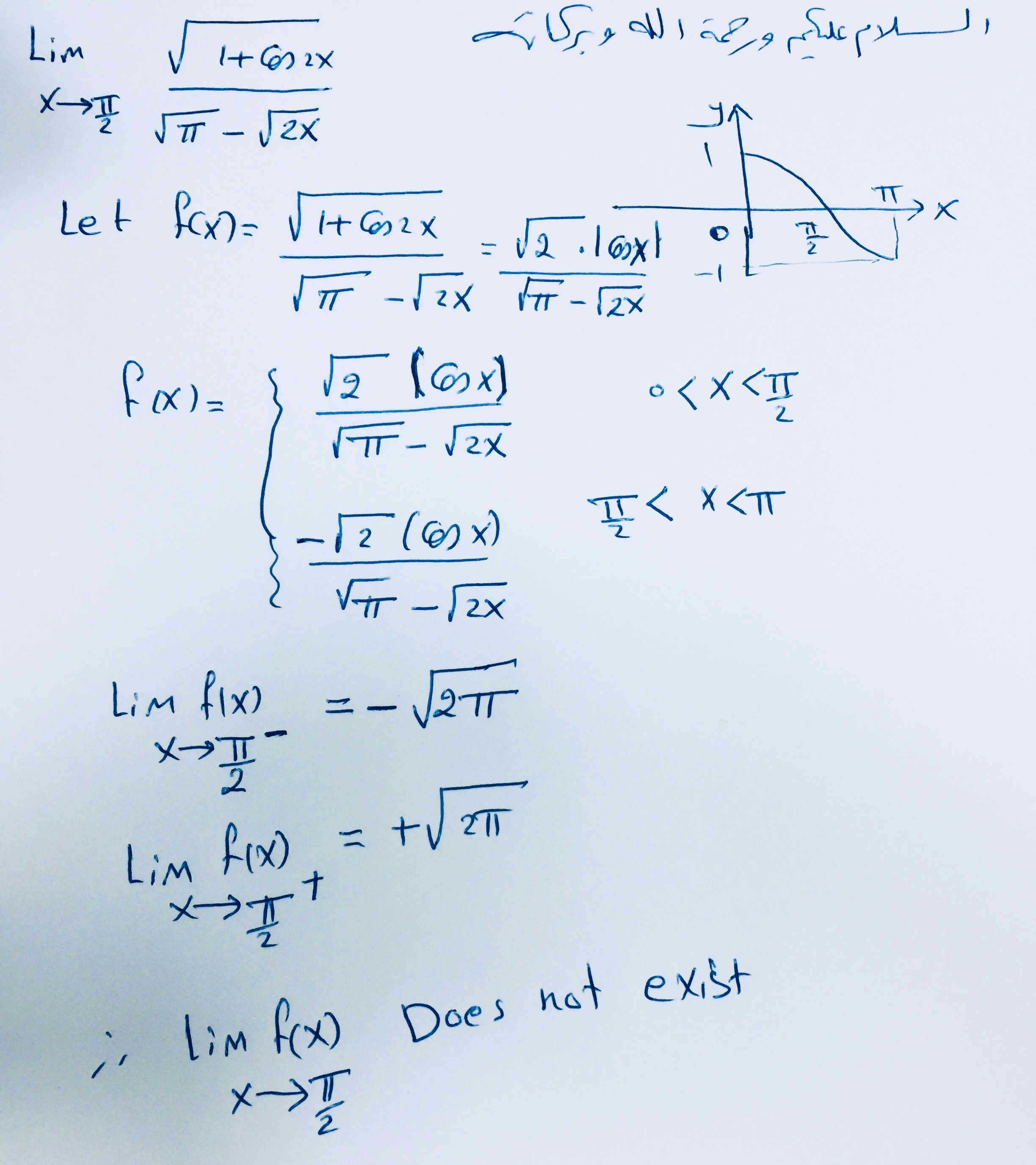
السلام عليكم
ملف مرفق 1091
رااااائع أستاذي حاجم ...
فقط عندي ملاحظة .. وهو من الضروري دراسة النهاية من اليمين ومن اليسار كلاً على حده وليست كما في الصورة المرفقة
لأن النهاية وحيدة ..
يعطيكم العافية جميعاً