انا لم اقل ترتيب ولكن اردنا لكم حل لسؤال عينه
لكي نتمكن معرفه الخطأ الذي يكون موجود في الحلول
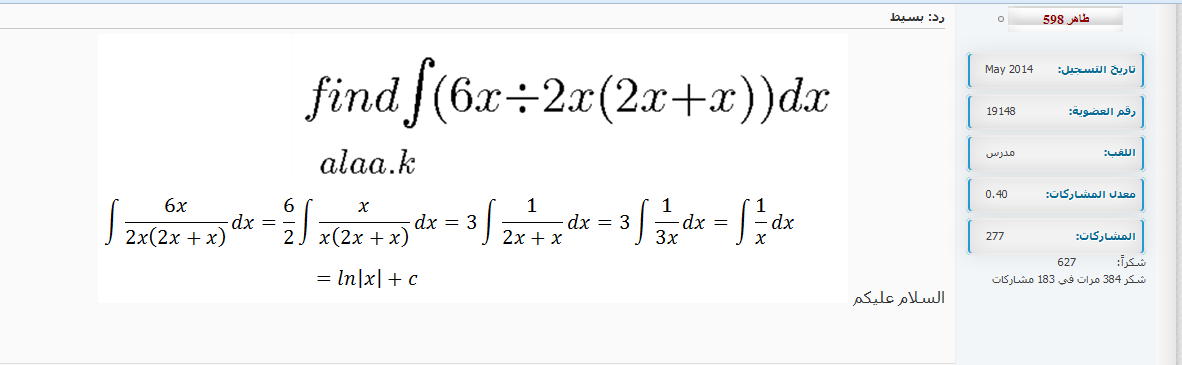
اعلاه مع مودتي لكم
عرض للطباعة
انا لم اقل ترتيب ولكن اردنا لكم حل لسؤال عينه
لكي نتمكن معرفه الخطأ الذي يكون موجود في الحلول
اعلاه مع مودتي لكم
الاستاذ القدير / علاء
هذا حل برنامج wolfram وايضا هو غير دقيق والسبب واضح
http://alnasiry.net/forums/uploaded/...1611-20-22.png
اما الحل الصحيح هو حل الاستاذ طاهر (مع اختلاف بسيط في بداية الحل)
http://alnasiry.net/forums/uploaded/...1611-39-33.png
لا يحتاج للبرنامج ولكن هنا الادخال لو كان ÷بدل /
قد يكون ادخال بشكل ادق ولكن انت استاذنا اي الحلول
تأيد اذ كنت حتى للحل الذي انت قدمته تقول غير دقيق
مع تحياتي لكم استاذنا احمد الجابري ولعل ان الاساتذة
لديهم حلول ولكن ابقى متشوق لحلكم استاذ احمدالجابري
مودتي للجميع
الاستاذ القدير / علاء
غيرنا ألى ÷ ولم يتغير شيء ارجوا ان قرأ الرسالة باللون الاصفر
http://alnasiry.net/forums/uploaded/9_ddddddd.png