السلام عليكم ورحمة الله وبركاته
أكملو حل الاسئلة لاضافة الاسئلة الاخرى
عرض للطباعة
السلام عليكم ورحمة الله وبركاته
أكملو حل الاسئلة لاضافة الاسئلة الاخرى
$Q10)(2x+7)(x^{2}-9)(2x-5)=91$
$4x^{4}+4x^{3}-71x^{2}-36x+224=0$
$4x^{4}+4x^{3}+x^{2}-72x^{2}-36x+224=0$
$(2x^{2}+x)^{2}-36(2x^{2}+x)+224=0$
$(2x^{2}+x-28)(2x^{2}+x-8)=0$
$x=\frac{7}{2},x=-4,x=\frac{-1\mp \sqrt{65}}{4}$
\[\begin{array}{l}
\left( {11} \right) & {5^{1 + x}} + {5^{1 - x}} = 26\,\, \\
\left( {12} \right){2^{x + 1}} + {4^x} = 8 \\
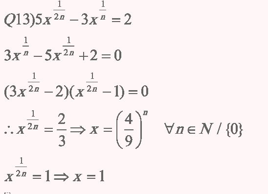
\left( {13} \right) & 5{x^{1/2n}} - 3{x^{1/n}} = 2\, \\
\left( {14} \right){2^{{x^2}}}:{4^x} = 8:1 \\
\left( {15} \right) & 9\left( {{x^2} + \frac{1}{{{x^2}}}} \right) - 27\left( {x + \frac{1}{x}} \right) + 8 = 0\, \\
\left( {16} \right) & 2{\left( {x + \frac{1}{x}} \right)^2} - 7\left( {x + \frac{1}{x}} \right) + 6 = 0 \\
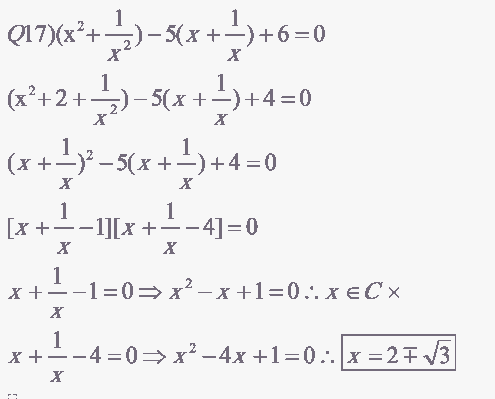
\left( {17} \right) & \left( {{x^2} + \frac{1}{{{x^2}}}} \right) - 5\left( {x + \frac{1}{x}} \right) + 6 = 0 \\
\left( {18} \right)\,\,{x^4} + {x^3} - 4{x^2} + x + 1 = 0 \\
\left( {19} \right) & {\left( {x + \frac{1}{x}} \right)^2} - \frac{3}{2}\left( {x - \frac{1}{x}} \right) - 4 = 0 \\
\left( {20} \right)\,\,\,x\left( {x + 2} \right)\left( {{x^2} - 1} \right) + 1 = 0 \\
\end{array}\]
$Q12)2^{x+1}+4^{x}=8$
$2.2^{x}+2^{2x}-8=0$
$(2^{x}+4)(2^{x}-2)=0$
$2^{x}=-4 (REF),2^{x}=2\Rightarrow x=1$
$S=\left \{ 1\right \}$
$Q15)solve. in .R :9(x^{2}+\frac{1}{x^{2}})-27(x+\frac{1}{x})+8=0$
$9(x^{2}+\frac{1}{x^{2}})^{2}-27(x+\frac{1}{x})-10=0$
$\left [ 3(x+\frac{1}{x}) +1\right ]\left [ 3(x+\frac{1}{x}) -10\right ]=0$
$\left [ 3(x+\frac{1}{x}) +1\right ](ref)$
$3(x+\frac{1}{x}) -10=0\Leftrightarrow 3x^{2}-10x+3=0$
$(x-3)(3x-1)=0\Rightarrow x=3,x=\frac{1}{3}$
$S=\left \{ 3,\frac{1}{3} \right \}$
مشكله في مركز رفع الملفات للمنتدى لايظهر الالوان التي بالصوره
http://alnasiry.net/forums/uploaded/...7-02-14_04.gif
$Q20)x(x+2)(x^2-1)+1=0$
$x^{4}+2x^{3}-x^{2}-2x+1=0$
$x^{4}+2x^{3}+x^{2}-2x^{2}-2x+1=0$
$(x^{2}+x)^{2}-2(x^{2}+x)+1=0$
$((x^{2}+x)-1)^{2}=0$
$x=\frac{-1\pm \sqrt{5}}{2}$
$S=\left \{ \frac{-1+\sqrt{5}}{2},\frac{-1-\sqrt{5}}{2} \right \}$