السلام عليكم
الحمد لله على سلامتكم
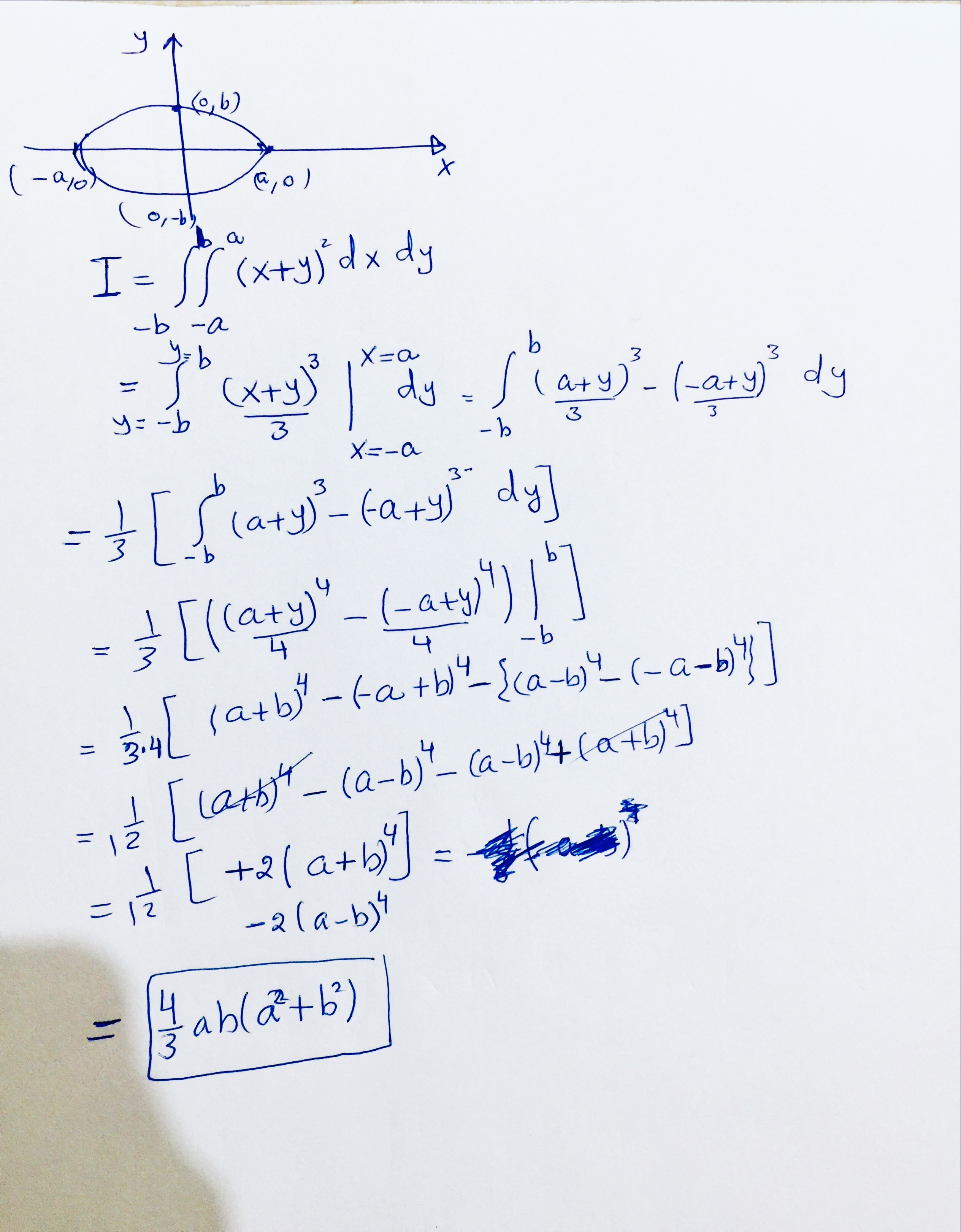
محاولة
https://alnasiry.net/forums/uploaded...603170278.jpeg
عرض للطباعة
السلام عليكم
الحمد لله على سلامتكم
محاولة
https://alnasiry.net/forums/uploaded...603170278.jpeg
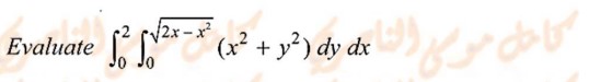
السلام عليكم ورحمة الله
https://alnasiry.net/forums/uploaded...604139734.jpeg