-
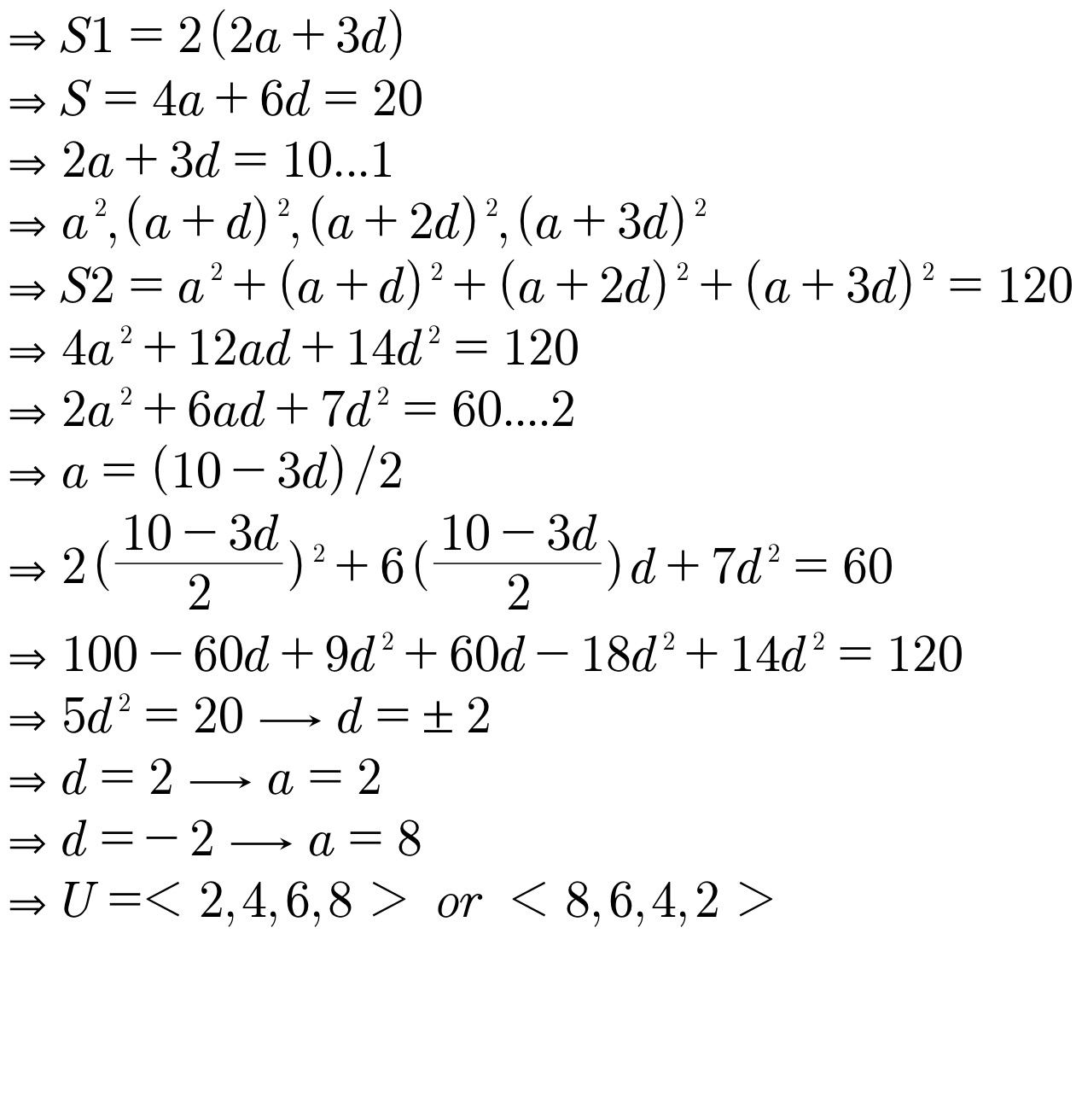
رد: Sequence and Series
-
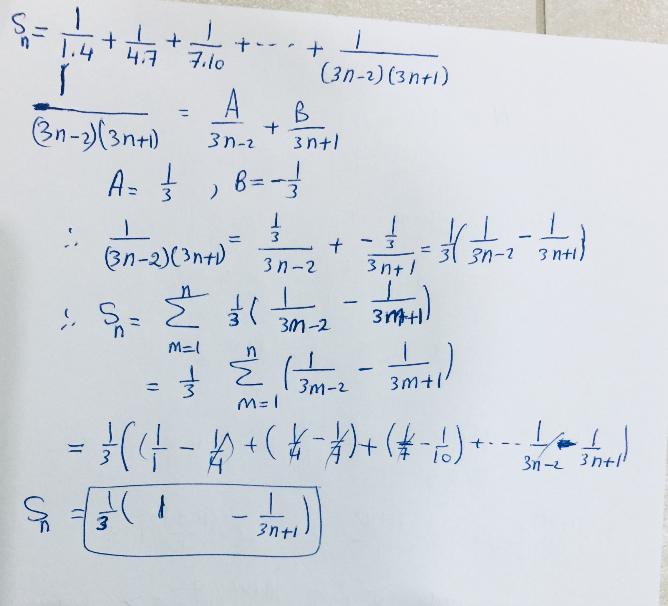
رد: Sequence and Series
-
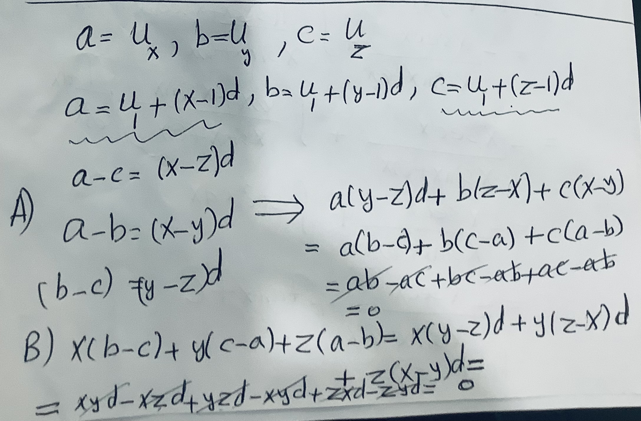
رد: Sequence and Series
-
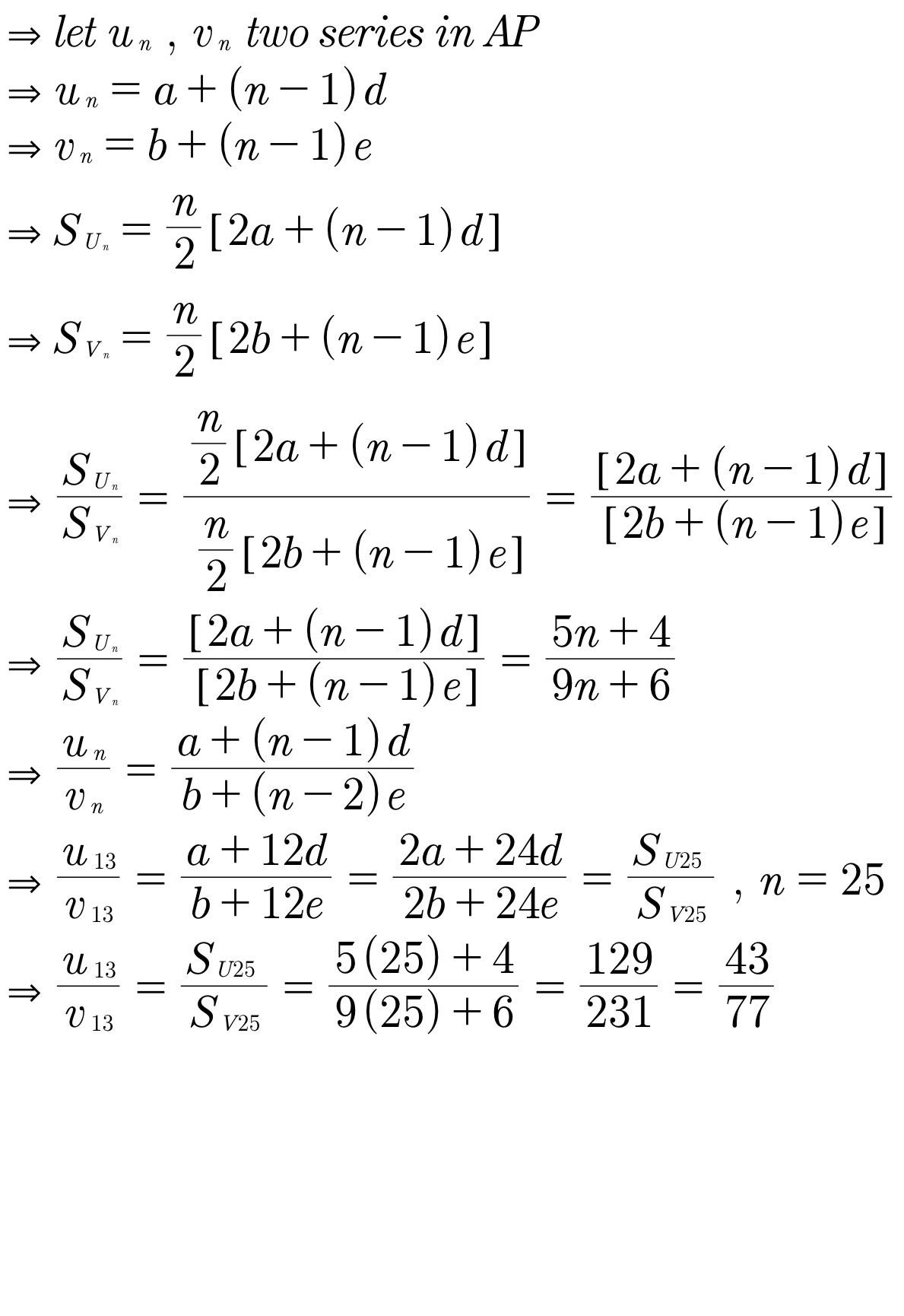
رد: Sequence and Series
-
رد: Sequence and Series
-
رد: Sequence and Series
-
رد: Sequence and Series
-
رد: Sequence and Series
-
رد: Sequence and Series
-
رد: Sequence and Series
-
رد: Sequence and Series
-
رد: Sequence and Series