URL="https://alnasiry.net/forums"]https://alnasiry.net/forums/uploaded/2_17mc19.jpg[/URL]
عرض للطباعة
URL="https://alnasiry.net/forums"]https://alnasiry.net/forums/uploaded/2_17mc19.jpg[/URL]
عندي خطأ في اشارة الطرف الايمن تم التعديل https://alnasiry.net/forums/uploaded...c557174f1.jpeg
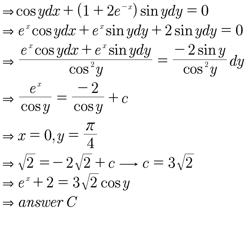
dx/(1+2e^(-x))= -tan y dy
e^x/(e^x+2) dx = -tan ydy
by integrating both sides
ln (e^x+2)=_ln (cos x)+ln c
e^x+2=c cos x
e^0 +2= c /sqrt 2
c=3 sqrt 2
the answer is C