-
رد: سلسلة التكامل
\[Q31)\because sec3x=\frac{1}{cos3x}=\frac{1}{4cos^3x-3cosx}=\frac{sec^{3}x}{4-3sec^2x}\\\therefore \int \frac{sec^{3}x}{secx}dx=\int \frac{sec^{2}x}{4-3sec^{2}x}dx=\int \frac{sec^{2}x}{1-3tan^{2}x}dx \\=\frac{1}{\sqrt{3}}\tanh ^-1\left ( \sqrt{3}tanx \right )+C\]
-
رد: سلسلة التكامل
\[Q34)\int arc cot\left ( cscx+cotx \right )dx=\int arccot\left ( \frac{1+cosx}{sinx} \right )dx\\=\int arccot\left ( \frac{2cos^{2}\frac{x}{2}}{2sin\frac{x}{2}cos\frac {x}{2}} \right )dx=\int arccot\left ( cot\frac{x}{2} \right )dx=\frac{x^{2}}{4}+C\]
-
رد: سلسلة التكامل
-
رد: سلسلة التكامل
[]$\huge {\color{Blue} \int(\tan(x+2)\tan(x-2)\tan2x)dx}$
$\huge {\color{Blue} \tan2x=\tan(x+2+x-2)=\frac{\tan(x-2)+\tan(x+2)}{1-\tan(x-2)\tan(x+2)}\rightarrow }$
$\huge {\color{Blue} \tan(x+2)\tan(x-2)=1-\frac{\tan(x+2)+\tan(x-2)}{\tan2x}}$
$\huge {\color{Blue} I=\int(\tan2x-\tan(x+2)+\tan(x-2))dx=-1/2 \ln\cos(2x)+\ln\cos(x+2)-\ln\cos(x-2)+c}$[/]
-
رد: سلسلة التكامل
$Q36)\int arccot(\frac{sinx+cosx}{cosx-sinx})dx$
$Q37)\int \frac{1-cotx}{1+cotx}dx$
$Q38)\int \frac{csc3x csc5x}{csc2x}dx$
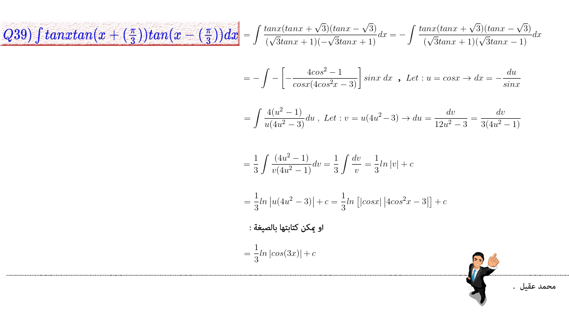
$Q39)\int tanx tan(x+(\frac{\pi }{3}))tan(x-(\frac{\pi }{3}))dx$
$Q40)\int \frac{1}{csc^{2}x+cot^{2}x}dx$
-
رد: سلسلة التكامل
$Q36)\int arccot(\frac{sinx+cosx}{cosx-sinx})dx$
$Q37)\int \frac{1-cotx}{1+cotx}dx$
$Q38)\int \frac{csc3x csc5x}{csc2x}dx$
$Q39)\int tanx tan(x+(\frac{\pi }{3}))tan(x-(\frac{\pi }{3}))dx$
$Q40)\int \frac{1}{csc^{2}x+cot^{2}x}dx$
-
رد: سلسلة التكامل
-
رد: سلسلة التكامل
-
رد: سلسلة التكامل
-
رد: سلسلة التكامل
-
رد: سلسلة التكامل
-
رد: سلسلة التكامل
$Q41)\int \frac{tan2-tanx}{tan2+tanx}dx$
$Q42)\int sin^{3}x cos\frac{x}{2}dx$
$Q43)\int \frac{secx}{\sqrt{sin(2x+2)+sin2}}dx$
$Q44)\int \frac{1}{\sqrt[3]{sin^{11}x cosx}}dx$
$Q45)\int \frac{cos^{3}x}{(sin^{4}x+3sin^{2}x+1)arccot(cscx+ sinx)}dx$