http://alnasiry.net/forums/uploaded/2_ramadan13.gif
عرض للطباعة
استاذى هل ما بداخل الجذر اكس ام تى؟
http://alnasiry.net/forums/uploaded/170_01374607083.jpg
السلام عليكم
محاولة للحل ارجو ان تكون موفقة
ابدعت استاذ محمد الشرهان
اليك الحل التالي والمتواضع
http://alnasiry.net/forums/uploaded/2_ramadan15sol.gif
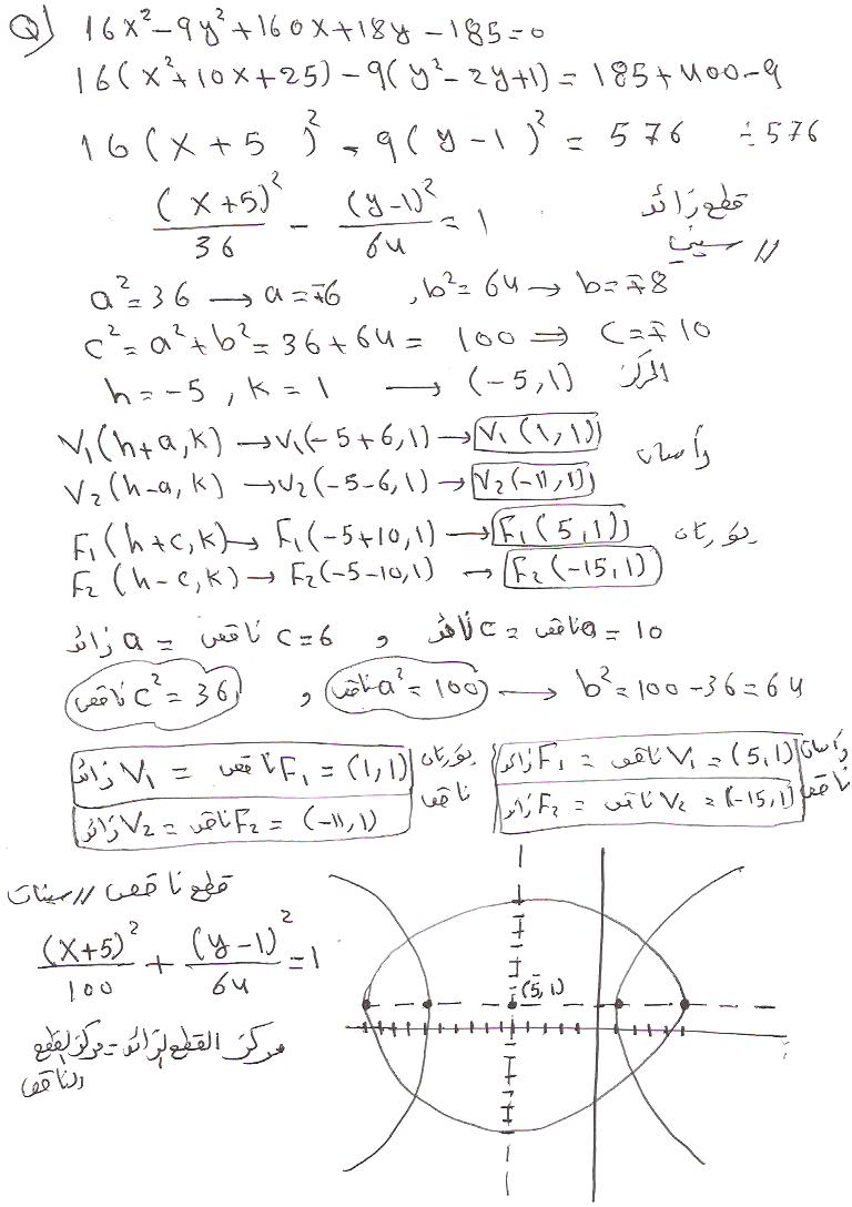
السلام عليكم ورحمة الله وبركاته http://latex.codecogs.com/gif.latex?...9%7D%20%3D%200
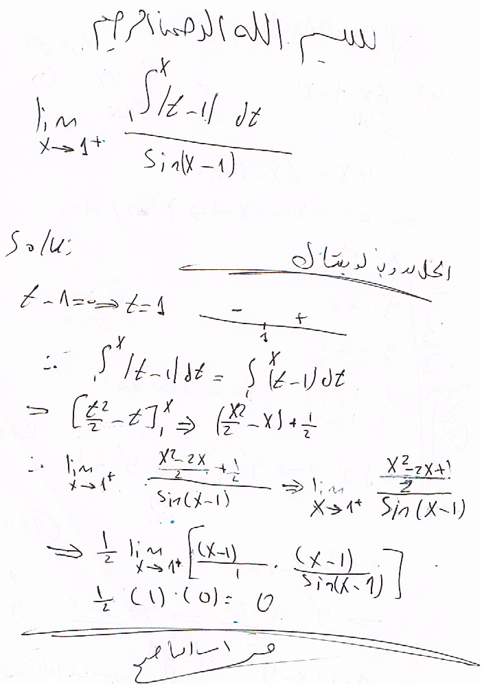
بعد الحل الاجمل للاستاذ المتميز أحمد الموجي اقدم هذا الحل بدون لوبيتال
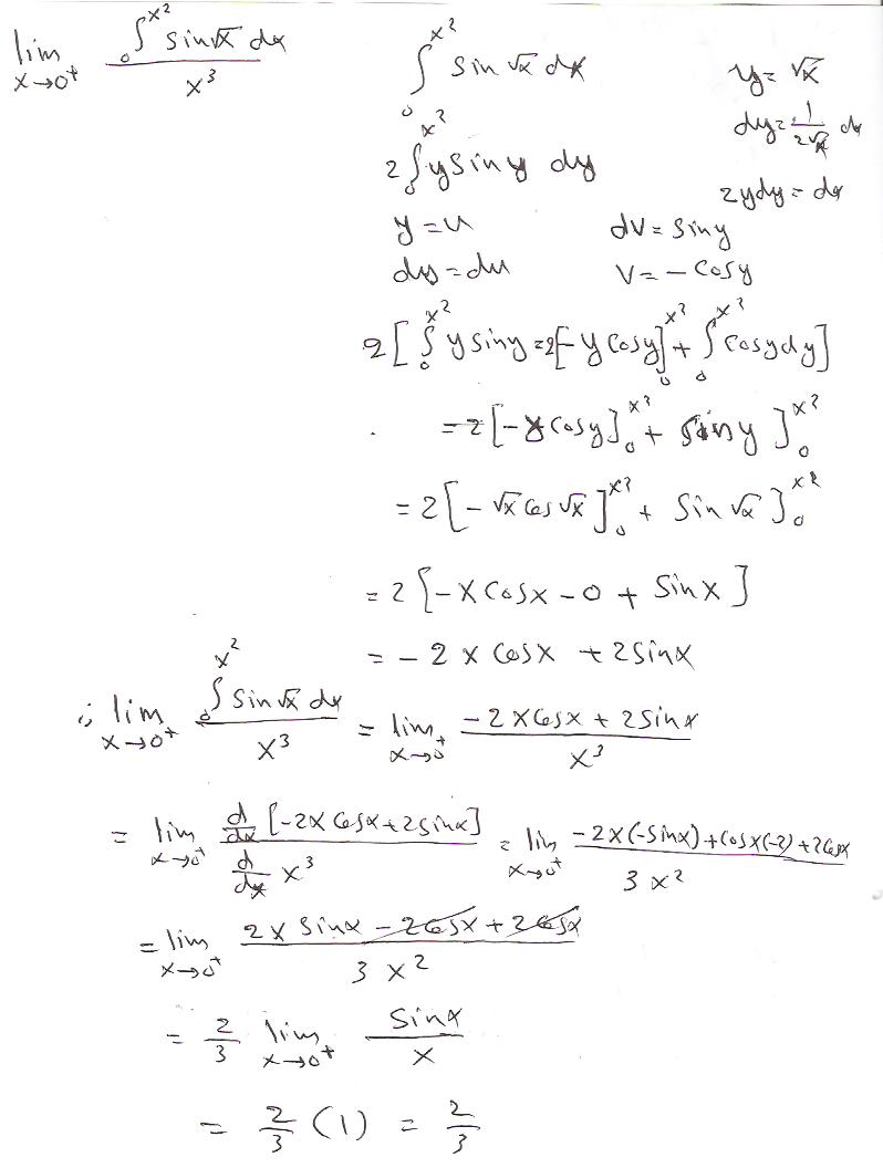
http://alnasiry.net/forums/uploaded/56_800.jpg
حلك اكثر جمالا استاذي العزيز