السلام عليكم ورحمة الله وبركاته
الاستاذ الكبير عبد الحميد السيد يجيد بشكل متميز اسئلة التحليل الرياضي لذا اجده سباقا لحل هذا النوع من الاسئلة فشكرا له
http://alnasiry.net/forums/uploaded/...,equq13ans.gif
عرض للطباعة
السلام عليكم ورحمة الله وبركاته
الاستاذ الكبير عبد الحميد السيد يجيد بشكل متميز اسئلة التحليل الرياضي لذا اجده سباقا لحل هذا النوع من الاسئلة فشكرا له
http://alnasiry.net/forums/uploaded/...,equq13ans.gif
السلام عليكم ورحمة الله وبركاته
شكرا ً أخي العزيز الغالي الأستاذ الكبير / كامل موسى الناصري
على إطرائك وتقديرك
والحقيقة كما ذكرت أن مسائل التحليل الرياضي ( ملك الرياضيات ) تستفزني
فلا أستطيع تركها لفترة طويلة ( إن لم تقطع الكهرباء أو النت وهذا أكثر ما نراة في يومنا )
وأنا أقدم الحل وفق الاسلوب المعتمد في مناهج الرياضيات السورية
وعندما تقدم أنت أو أحد الأخوة المشاركين اسلوب آخر نستفيد من الطرائق
وأتمنى أن أرى حلول الأخوة الأساتذة للفائدة العامة وتنوع الأساليب
لذا سأترك بعد حل هذا التمرين مجال أكبر للأخوة اللذين يرغبون بوضع حلولهم
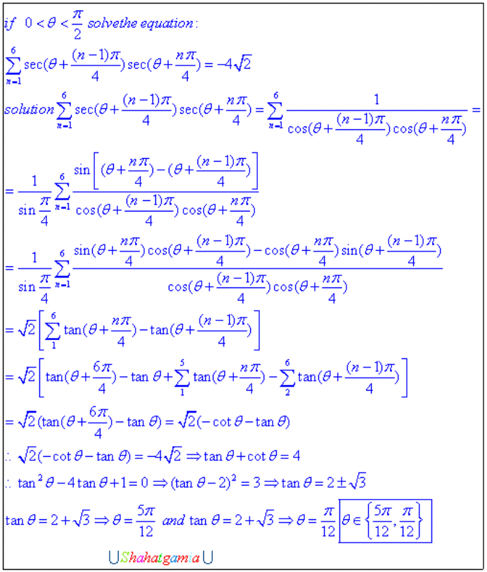
بسم الله الرحمن الرحيم
http://im38.gulfup.com/Dp5jE.gif
????????????/!!!!!!!!!!!!!!!!
السلام عليكم ورحمة الله وبركاته
استاذنا العزيز/كامل الناصرى هل الطرف الايمن بالسالب؟؟ ان لم يكن كذلك فمجموعة الحل هى المجموعة الخالية من وجهة نظرى
وتعتمد على تحليل الفرق بين مربعين سيكون السؤال مباشر
اين الحل استاذ شحات