http://i.imgur.com/9EyFv9S.jpghttp://i.imgur.com/9EyFv9S.jpg
http://i.imgur.com/9EyFv9S.jpg
عرض للطباعة
???????????????????????????????????
http://i.imgur.com/DLvRpLG.jpgاسف على هذا الخطاء
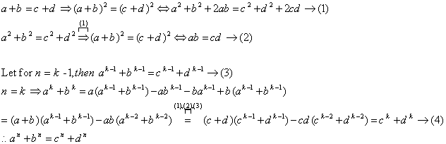
5x+410=410
X=0
The mean of the numbers =392/4=98
أستاذ صلاح لعل هناك غلطة حسابية في حلك ولعل الجواب يكون 98 حيث x=0
ارجو من الاستاذ صلاح اصلاح خطأالجمع