تمام أستاذى العزيز، فهى x2 فعلاً وقد نقلت المسألة خطأ، فإن كان الأستاذ صلاح قد قصد ذلك فهو محق بنسبة مائة فى المائة وينبغى أن أعتذر له فى تلك الحالة.... أشكرك أستاذنا الغالى العبقرى
عرض للطباعة
هل الناتج هو 0 اذا كان كذلك سوف ارفع محاولتي للحل تقبل تحياتي
أجل أستاذ طاهر 598، إنها كذلك، من فضلك ضع محاولتك مشكوراًاقتباس:
المشاركة الأصلية كتبت بواسطة [SIZE=5
السلام عليكم محاولتي للحل http://im87.gulfup.com/KMcJol.png
تكررت اجابة السؤال ارجو من ادارة المنتدى حذف واحدة لانني لااعرف كيفية الحذف مع شكري وتقديري
أخى العزيز طاهر 598، بعد التحية:
محاولتك موفقة نشكرك عليها فضلاً عن كونها مجهود رائع منك فجزاك الله تعالى خيراً...
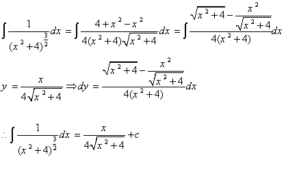
ولكن هناك خاصية فى التكامل المحدد يجب أن نضعها فى الإعتبار عند حلنا لهذا النوع من المسائل ألا وهى بحث نوع الدالة من حيث كونها زوجية أم فردية، فلو كانت الدالة فردية وكان حدى التكامل متساويين مع اختلاف الإشارة فإن الناتج لا بد أن يساوى الصفر دون بذل كل هذا الجهد أو العناء، وإليك حلى المتواضع لعله يحوز إعجابكم ولا ننسى أننا جميعاً نستفيد من بعضنا البعض....
السلام عليكم استاذ مهيب وشكرا" لك ولكنني احاول ان احل الاسئلة في هذا المنتدى الرائع مع ما يتوافق ومعلومات طلبتنا في مرحلة السادس العلمي فشكرا" لك مرة اخرى ووفقكم الله
السلام عليكم استاذ محمد شكرا" لك ولاهتمامك ولكن ليس لدي كلمة تعديل المشاركة حيث لدي في ضوابط المشاركات لاتستطيع تعديل المشاركة ولااعلم ماهو السبب وقد ارسلت رسالة لادارة المنتدى ولكن بدون رد شكرا" لك مرة ثانية
السلام عليكم ورحمة الله وبركاته
أطيب تحية