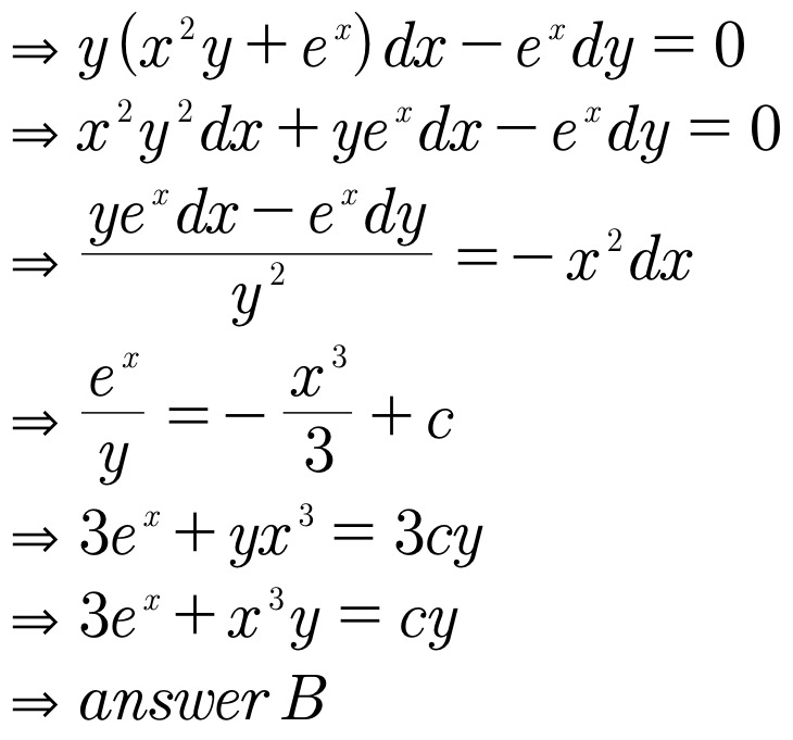
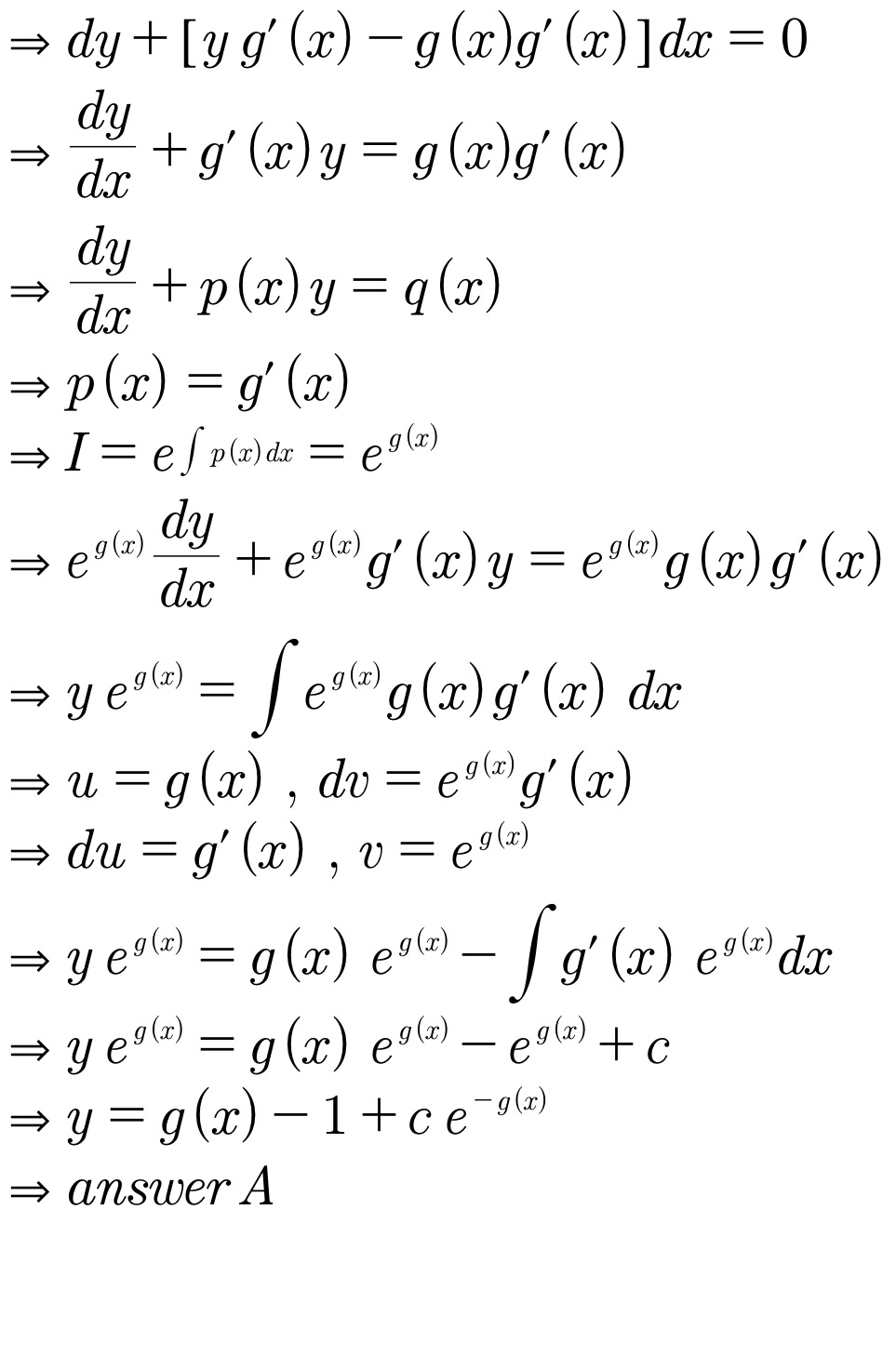
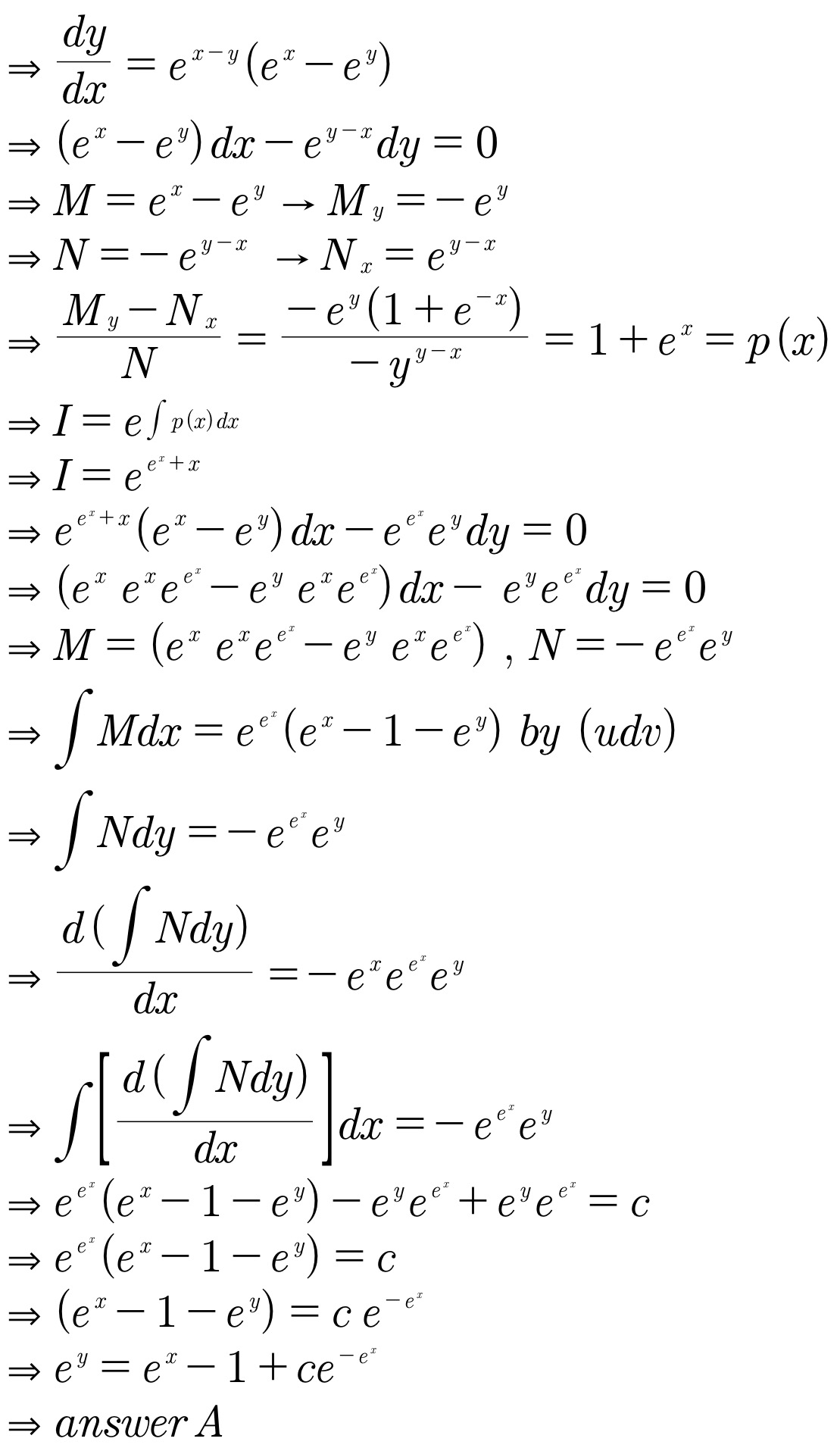
رد: 17. Differential Equation
رد: 17. Differential Equation
رد: 17. Differential Equation
رد: 17. Differential Equation
رد: 17. Differential Equation
رد: 17. Differential Equation
رد: 17. Differential Equation
رد: 17. Differential Equation
السلام عليكم ورحمة الله
المعادلة غير تامه تم اختصاربعض الخطوات واستخدام رمز المشتقه الاعتيادي بدل الجزئي لعدم وجhttps://alnasiry.net/forums/uploaded...4088561cb.jpegود الرمز بالمبايل
رد: 17. Differential Equation
رد: 17. Differential Equation
رد: 17. Differential Equation
رد: 17. Differential Equation