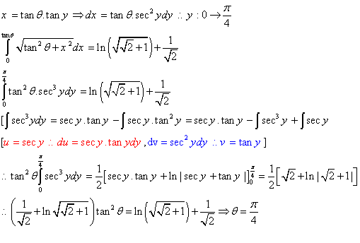
السلام عليكم ورحمة الله وبركاته
حل السوال بطريقة اخرى
http://alnasiry.net/forums/uploaded/170_t5555.jpg
عرض للطباعة
السلام عليكم ورحمة الله وبركاته
حل السوال بطريقة اخرى
http://alnasiry.net/forums/uploaded/170_t5555.jpg
السلام عليكم ورحمة الله وبركاته
http://alnasiry.net/forums/uploaded/17896_c7-1.jpg
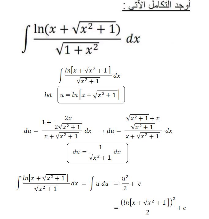
السلام عليكم ورحمة الله وبركاته
أأمل أن تكون الحسابات دقيقة
http://alnasiry.net/forums/uploaded/17896_c7-2.jpg
http://alnasiry.net/forums/uploaded/17896_c7-3.jpg
[SIZE=5][CENTER]
السلام عليكم ورحمة الله وبركاته
http://alnasiry.net/forums/uploaded/17896_c7-4.jpg
السلام عليكم ورحمة الله وبركاته
محاولة للحل ارجو ان تكون موفقة
http://alnasiry.net/forums/uploaded/170_tr55.jpg