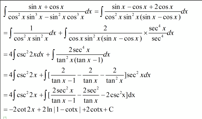
$Q52)\int \frac{sinx+cosx}{cos^{2}xsin^{3}x-sin^{2}xcos^{3}x}dx$
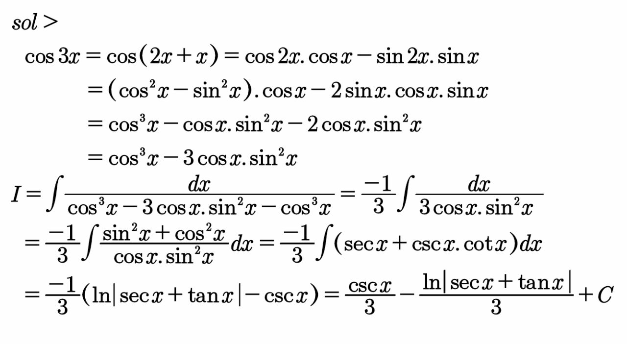
$Q53)\int \frac{dx}{cos3x-cos^{3}x}$
$Q54)\int \frac{dx}{cos2x-sec^{2}x}$
عرض للطباعة
$Q52)\int \frac{sinx+cosx}{cos^{2}xsin^{3}x-sin^{2}xcos^{3}x}dx$
$Q53)\int \frac{dx}{cos3x-cos^{3}x}$
$Q54)\int \frac{dx}{cos2x-sec^{2}x}$
[QUOTE=فلاح الناصري;47239][B][SIZE=7]$Q52)\int \frac{sinx+cosx}{cos^{2}xsin^{3}x-sin^{2}xcos^{3}x}dx$
http://alnasiry.net/forums/uploaded/...17-02-22_1.gif
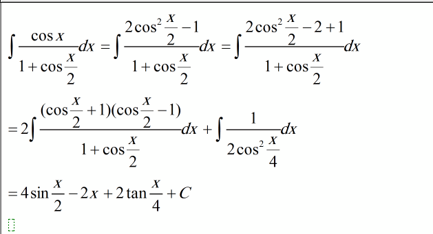
$Q55)\int \frac{cosx}{1+cos\frac{x}{2}}dx$
حل الاستاذ فتاح ناصح
http://alnasiry.net/forums/uploaded/...1488438158.jpg
$Q56)\int \frac{cosx}{cos^{2}x+sin2x}dx$
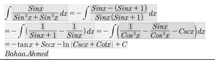
$Q57)\int \frac{sinx}{sin^{2}x+sin^{3}x}dx$
حل الاستاذ بهاء احمد
http://alnasiry.net/forums/uploaded/...1488684414.gif