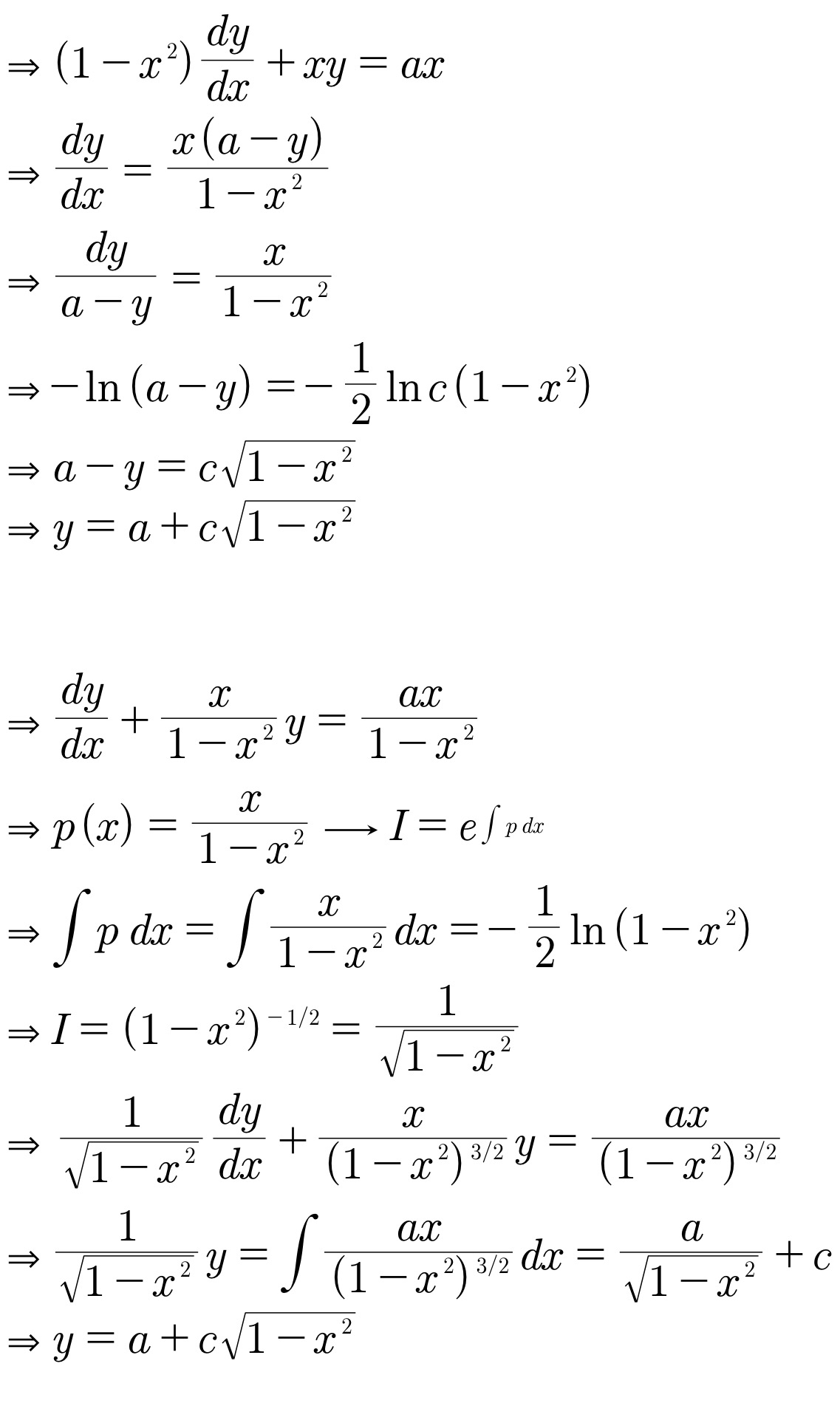
رد: 17. Differential Equation
رد: 17. Differential Equation
رد: 17. Differential Equation
رد: 17. Differential Equation
رد: 17. Differential Equation
رد: 17. Differential Equation
رد: 17. Differential Equation
رد: 17. Differential Equation
رد: 17. Differential Equation
رد: 17. Differential Equation
رد: 17. Differential Equation
رد: 17. Differential Equation
السلام عليكم
التربيع بسرعة الحل سقط من اخر سطر
بارك الله فيك
بارعة والله
وعليكم السلام ورحمة الله
فعلا استاذي شكرا للتنبيه ولكلماتك المحفزة ولكل ماتنشر