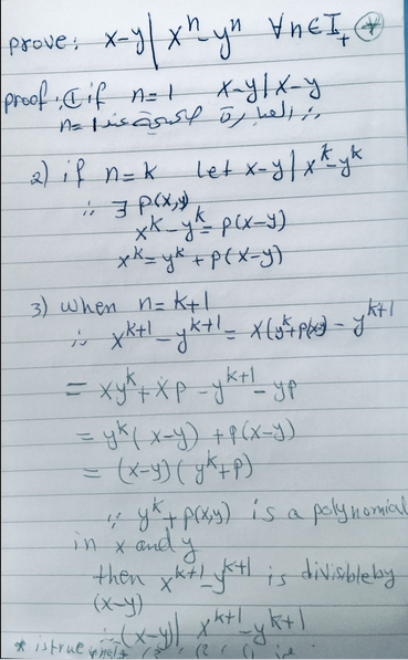
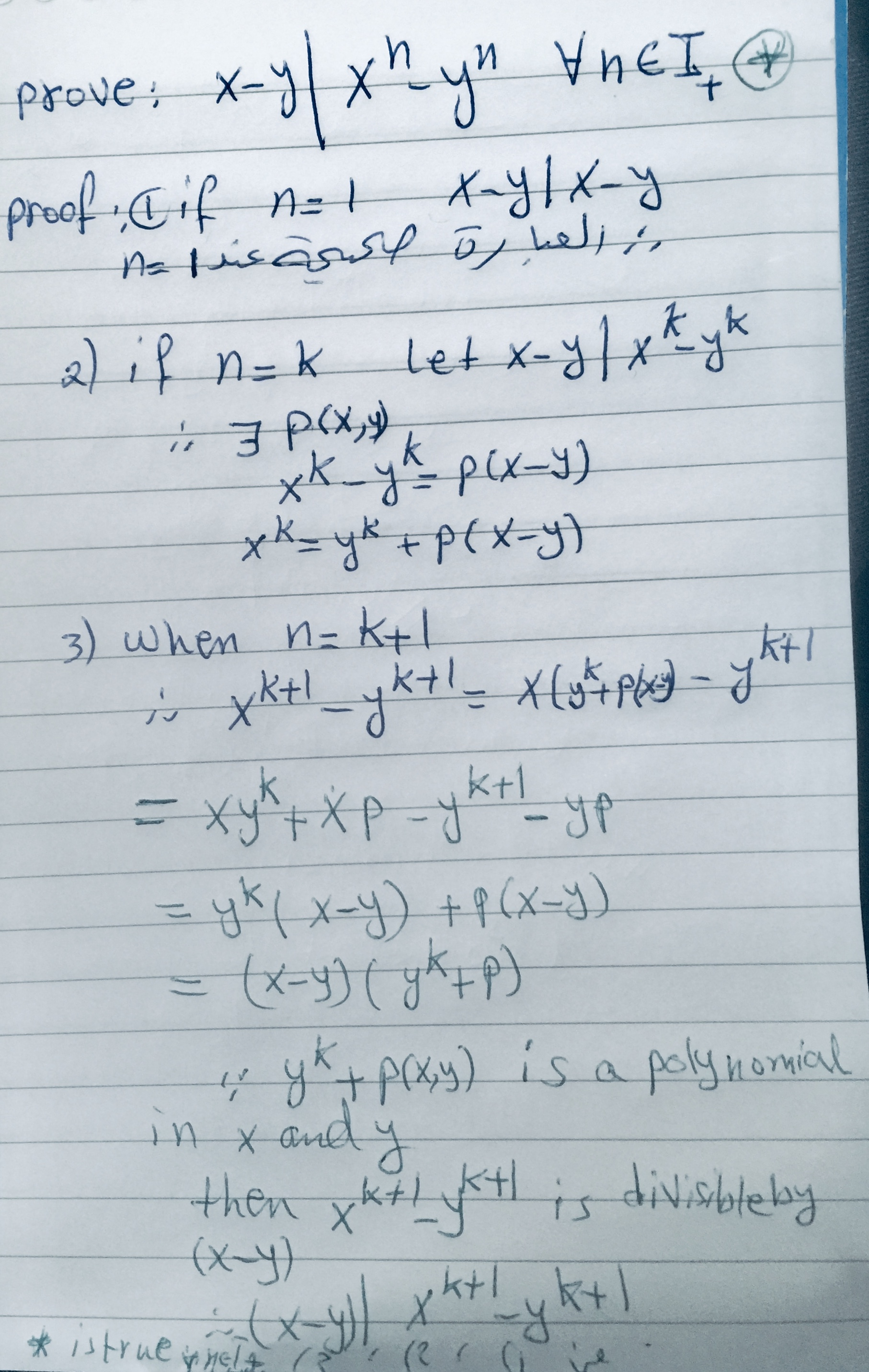
رد: 8. Mathematical Induction
رد: 8. Mathematical Induction
رد: 8. Mathematical Induction
رد: 8. Mathematical Induction
رد: 8. Mathematical Induction
رد: 8. Mathematical Induction
رد: 8. Mathematical Induction
رد: 8. Mathematical Induction
رد: 8. Mathematical Induction
رد: 8. Mathematical Induction
رد: 8. Mathematical Induction
رد: 8. Mathematical Induction