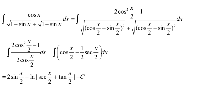
$Q58)\int \frac{cosx}{\sqrt{1+sinx}+\sqrt{1-sinx}}dx$
عرض للطباعة
$Q58)\int \frac{cosx}{\sqrt{1+sinx}+\sqrt{1-sinx}}dx$
$Q59)\int \frac{(cot(e^{x})+csc(e^{x})-1)e^{x}}{cot(e^{x})-csc(e^{x})+1}dx$
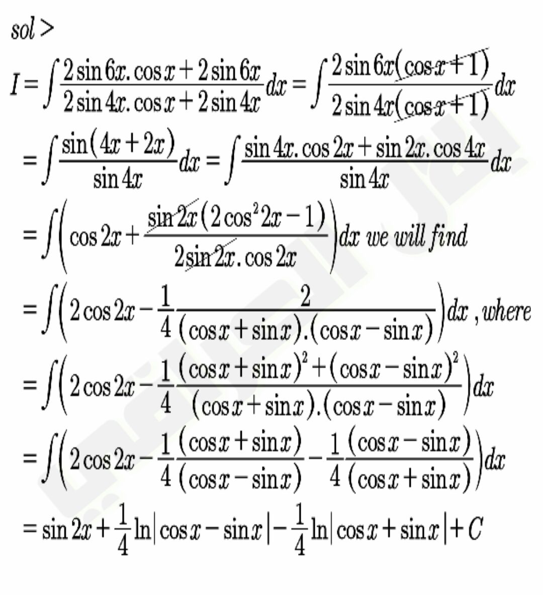
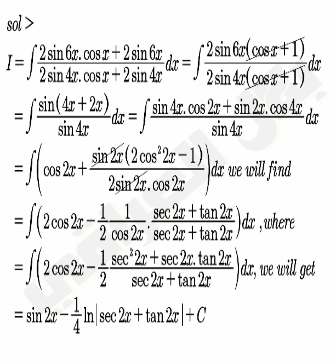
$Q60)\int \frac{sin5x+2sin6x+sin7x}{sin3x+2sin4x+sin5x}dx$
للسادس العلمي
$Q61)\int \frac{dx}{tanx ln(sinx)}$
$Q62)\int \frac{ln(sinx)}{tanx}dx$