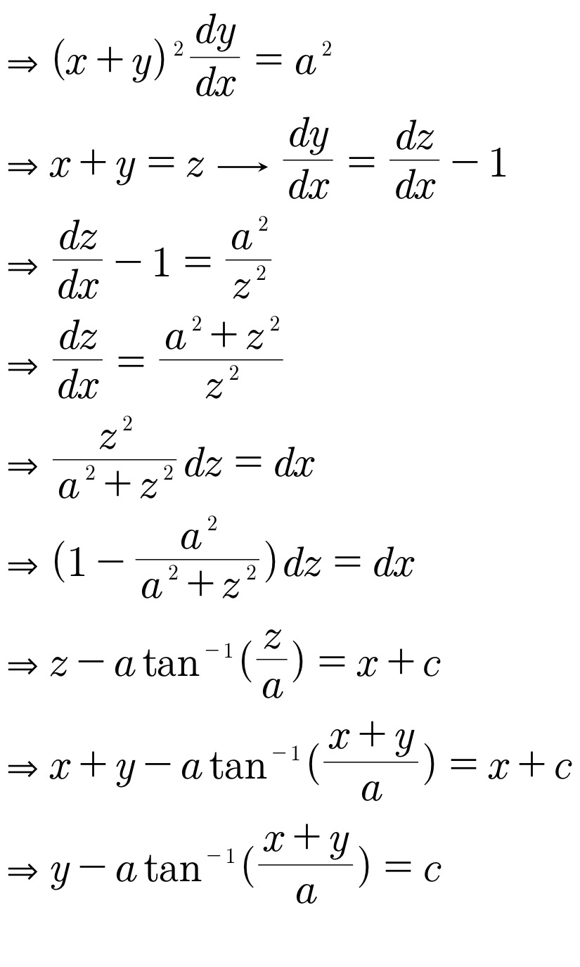
رد: 17. Differential Equation
رد: 17. Differential Equation
رد: 17. Differential Equation
رد: 17. Differential Equation
1 مرفق
رد: 17. Differential Equation
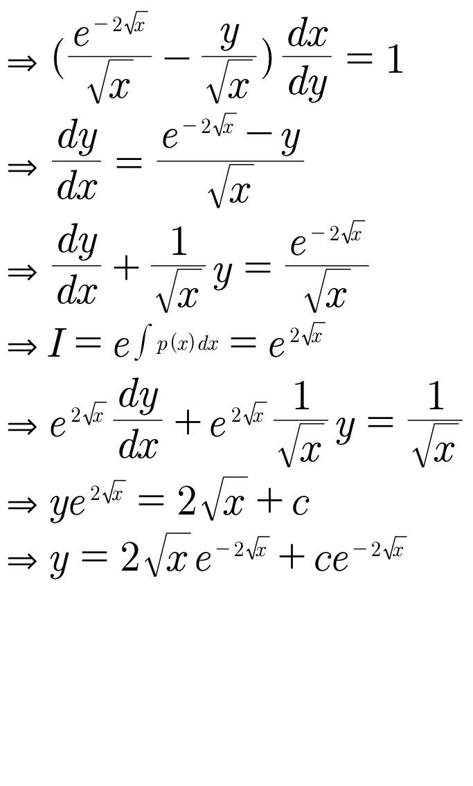
ملف مرفق 1534
طباعي يغير الى اس
1 مرفق
رد: 17. Differential Equation
رد: 17. Differential Equation
رد: 17. Differential Equation
اقتباس:
المشاركة الأصلية كتبت بواسطة كامل موسى الناصري
نعم استاذنا هي كذلك و البرنامج المستخدم يظهرها بهذه الصورة ولايمكن تغييرها فقط عند وجود التكامل بالاس تصبح بهذا الشكل
رد: 17. Differential Equation
رد: 17. Differential Equation
رد: 17. Differential Equation
رد: 17. Differential Equation