https://alnasiry.net/forums/uploaded/2_17mc46slv.jpg
عرض للطباعة
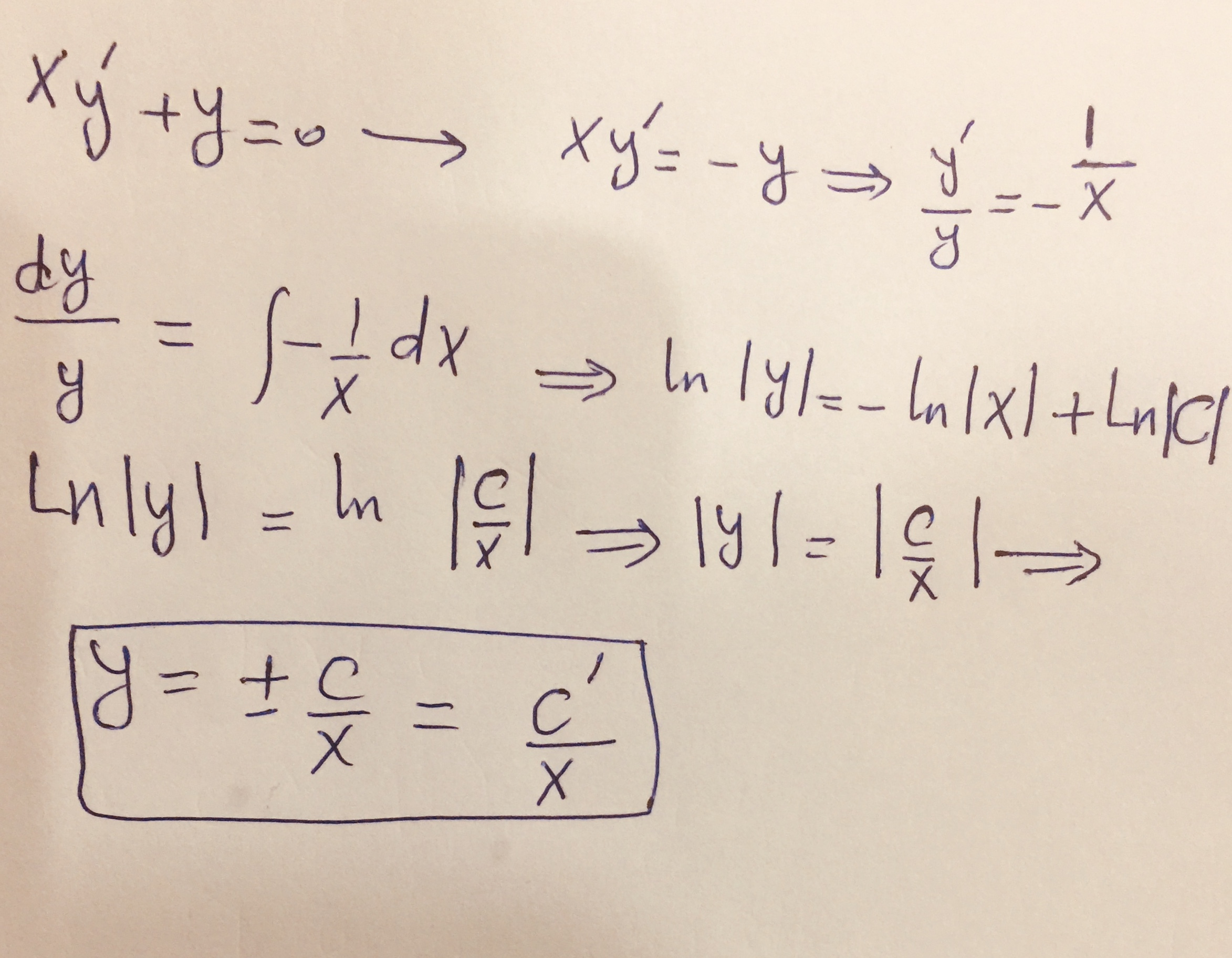
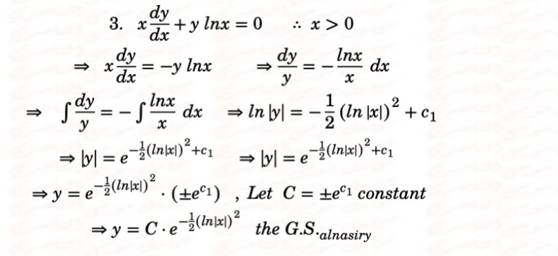
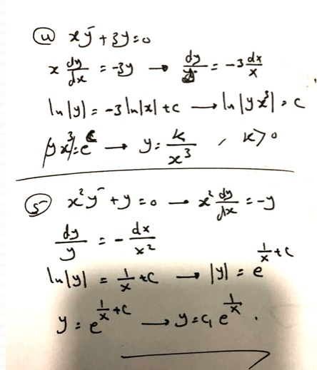
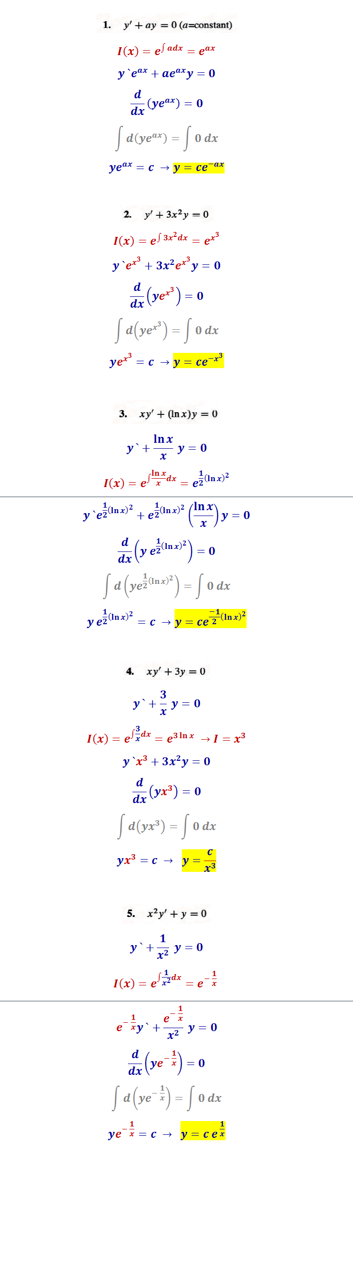
؟؟؟؟؟؟؟؟؟؟؟؟؟؟؟
??????????????????
السلام عليكم: حل الاستاذ الكبير كاظم نكيش على التلكرام
https://alnasiry.net/forums//uploaded/2_kd1.jpg
https://alnasiry.net/forums//uploaded/2_kd2.jpg