السلام عليكم ورحمة الله وبركاته
http://syr-e.com/upload/uploads/1375646819041.gif
عرض للطباعة
السلام عليكم ورحمة الله وبركاته
http://syr-e.com/upload/uploads/1375646819041.gif
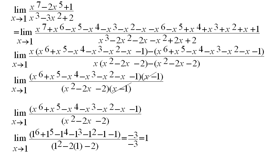
يمكن الحل باستخدام طريقة القسمة المطولة بقسمة كل من البسط والمقام على ( x - 1 )
السلام عليكم ورحمة الله وبركاته
شكرا ً أخي العزيز الغالي الأستاذ الكبير / كامل موسى الناصري
على مجهودك الجبار والله يقويك ويمدك بالصحة والعافية
وشكرا ً لك أخي العزيز الغالي الأستاذ المتميز / شحات جامع
على حلك الأكثر من رائع
إحدى طرائق حل التمرين الأول من الليلة الخامسة والعشرون
بسم الله الرحمن الرحيم
http://syr-e.com/upload/uploads/1375653497581.gif
السلام عليكم ورحمة الله وبركاته http://latex.codecogs.com/gif.latex?...3%29%7D%7B4%7D