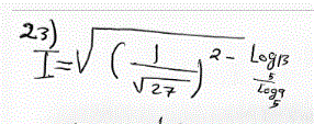
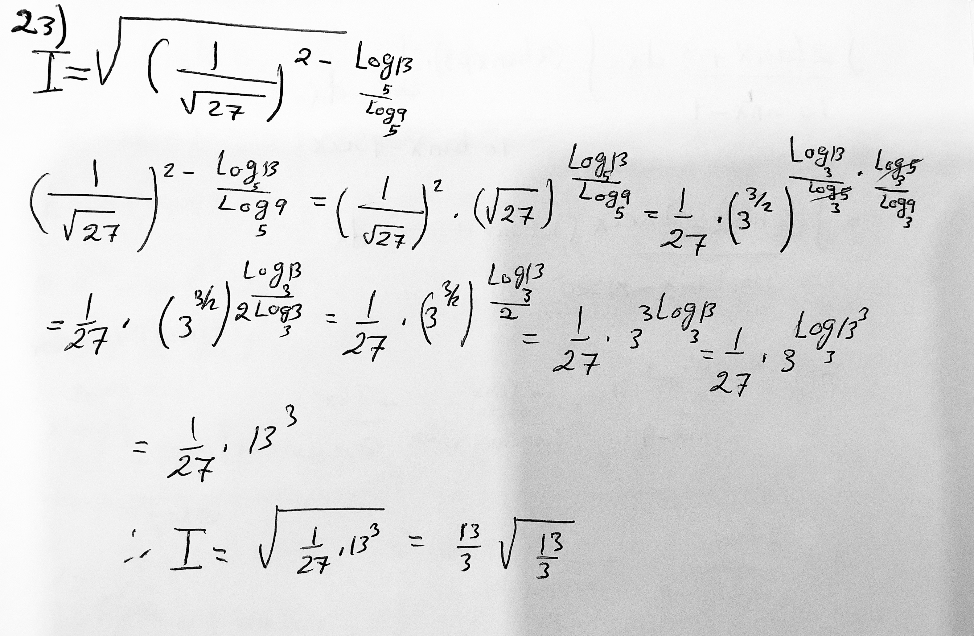
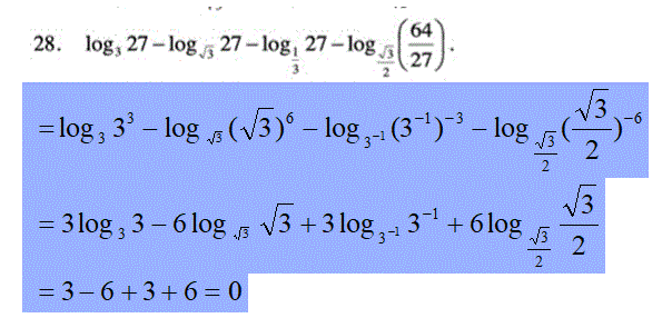
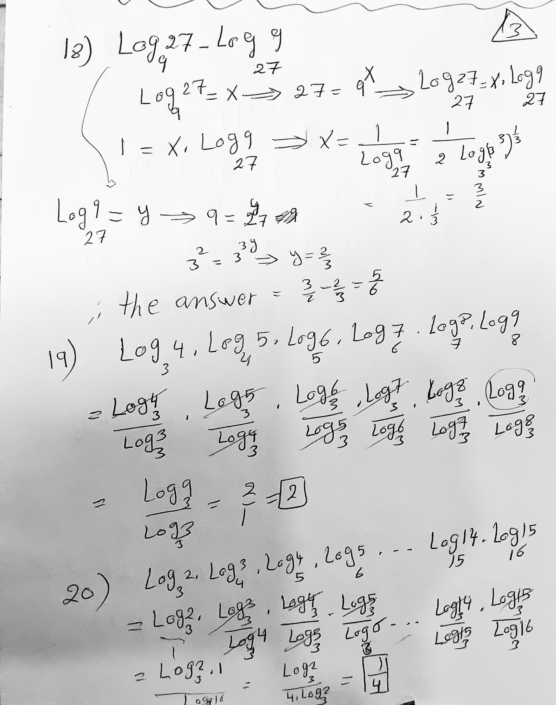
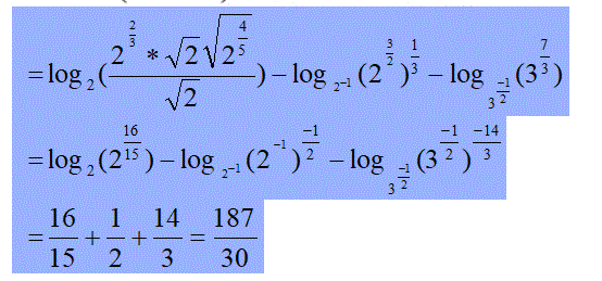
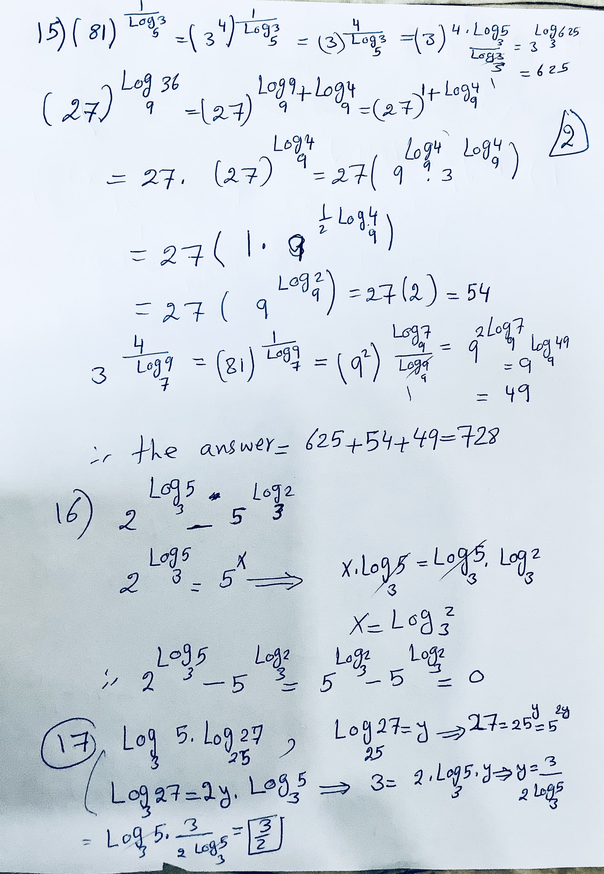
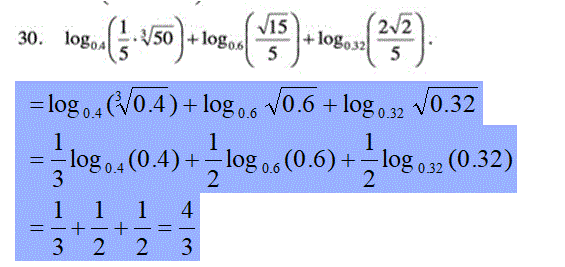
30 K Logn and exp

عرض للطباعة

عرض 40 مشاركات من هذا الموضوع لكل صفحة
صفحة 1 من 2 12 الأخيرةالأخيرة
عرض 40 مشاركات من هذا الموضوع لكل صفحة
صفحة 1 من 2 12 الأخيرةالأخيرة