-
Trigonometric Equations and Inequations
بسم الله الرحمن الرحيم
السلام عليكم ورحمة الله وبركاته
في مواقع مختلفة من المنتدى تجد المتباينة والمعادلة المثلثية ؛ لذا وجد فتح باب جديد لها حتى لو تكرر بعض منها
سأبدأ بالاسئلة بالتدرج من الاسهل ، لذا ارجو من الاخوة ، حين يطرح الحل يكون بالتفصل ، حتى يزداد عدد اللاعبين في هذا الموضوع.
افتقد هذه الايام الكثير من الاساتذه واذكر منهم على سبيل المثال : الاستاذ محمد الشرهان والاستاذ معاون المدير العام فراس الناصري
http://alnasiry.net/forums/uploaded/...quaandineq.gif
-
رد: Q1 : Inequation
-
رد: Q1 : Inequation
-
رد: Q1 : Inequation
-
رد: Q1-Q2,...... : Inequation
-
رد: Q1-Q2,...... : Inequation
-
رد: Q1-Q2,...... : Inequation
؟؟؟؟؟؟؟؟؟؟؟؟؟؟!!!!!!!!!!!!!!!!!!!!!!
-
رد: Q1-Q2,...... : Inequation
-
رد: Q1-Q2,...... : Inequation
-
رد: Q1-Q2,...... : Inequation
-
رد: Q1-Q2,...... : Inequation
-
رد: Q1-Q2,...... : Inequation
-
رد: Q1-Q2,...... : Inequation
-
رد: Q1-Q2,...... : Inequation
الاستاذ عبد النبي شكراااااااااااااااااا لك
الناتج النهائي صحيح وطريقة تفكيرك في السؤال سليمة ، لكن هنالك خل في طريقة طرح حل المتباينة وقد يتفق معك البعض ، انت اكثر جرأة من غيرك وهذا ما يعجبني في طروحاتك ، الكثير من الاساتذة يبتعد عن المتباينة
وانت دخلت هذا المعتترك ، حياك الله
-
رد: Q1-Q2,...... : Inequation
اعتقد الحل خاطئ ببساطة شديدة اى زاوية تقع فى الربعين التانالت والرابع تحقق وهما ليس ضمن مجموعة الحل
-
رد: Q1-Q2,...... : Inequation
-
رد: Q1-Q2,...... : Inequation
استاذى ماذا عن الزاوية 210 الاتحقق المتباينة وهى غير موجودة بالحل
-
رد: Q1-Q2,...... : Inequation
السيد بسام مجال الحل حدد وما ذكرته خارج المجال ، لاحظ منطوق السؤال فانت لا تفوت عليك هكذا فكرة، حياك الله
-
رد: Q1-Q2,...... : Inequation
-
رد: Q1-Q2,...... : Inequation
-
رد: Q1-Q2,...... : Inequation
-
رد: Q1-Q2,...... : Inequation
-
رد: Q1-Q2,...... : Inequation
-
رد: Q1-Q2,...... : Inequation
-
رد: Trigonometric Equations and Inequations
?????????!!!!!!!!!!!!!!!!!!!!!
-
رد: Q1-Q2,...... : Inequation
اقتباس:
المشاركة الأصلية كتبت بواسطة كامل موسى الناصري
واي استفسار يمكن طرحه لنوضحه
-
رد: Trigonometric Equations and Inequations
-
رد: Trigonometric Equations and Inequations
-
رد: Trigonometric Equations and Inequations
-
رد: Trigonometric Equations and Inequations
-
رد: Trigonometric Equations and Inequations
-
رد: Trigonometric Equations and Inequations
شكراً لك استاذ عبد الحميد على هذا التوضيح الرائع .
-
رد: Trigonometric Equations and Inequations
حل رائع طرحه الاستاذ الكبير عبد الحميد السيد
اطرح حلا اخر للفائدة
http://alnasiry.net/forums/uploaded/...,equq12ans.gif
-
رد: Trigonometric Equations and Inequations
-
رد: Trigonometric Equations and Inequations
-
رد: Trigonometric Equations and Inequations
السلام عليكم ورحمة الله وبركاته
وحلك بديع اخي العزيز الغالي الأستاذ الكبير / كامل موسى الناصري
وها قد حصلنا على طريقتين لزيادة الفائدة
والآن أقدم حل التمرين ( 13 ) بنفس الاسلوب السابق
http://im42.gulfup.com/k1CRD.gif
-
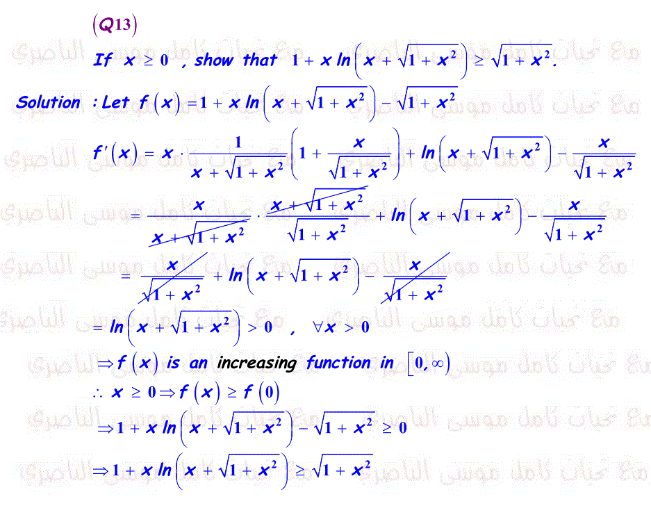
رد: Trigonometric Equations and Inequations
السلام عليكم ورحمة الله وبركاته
الاستاذ الكبير عبد الحميد السيد يجيد بشكل متميز اسئلة التحليل الرياضي لذا اجده سباقا لحل هذا النوع من الاسئلة فشكرا له
http://alnasiry.net/forums/uploaded/...,equq13ans.gif
-
رد: Trigonometric Equations and Inequations
-
رد: Trigonometric Equations and Inequations
السلام عليكم ورحمة الله وبركاته
شكرا ً أخي العزيز الغالي الأستاذ الكبير / كامل موسى الناصري
على إطرائك وتقديرك
والحقيقة كما ذكرت أن مسائل التحليل الرياضي ( ملك الرياضيات ) تستفزني
فلا أستطيع تركها لفترة طويلة ( إن لم تقطع الكهرباء أو النت وهذا أكثر ما نراة في يومنا )
وأنا أقدم الحل وفق الاسلوب المعتمد في مناهج الرياضيات السورية
وعندما تقدم أنت أو أحد الأخوة المشاركين اسلوب آخر نستفيد من الطرائق
وأتمنى أن أرى حلول الأخوة الأساتذة للفائدة العامة وتنوع الأساليب
لذا سأترك بعد حل هذا التمرين مجال أكبر للأخوة اللذين يرغبون بوضع حلولهم
بسم الله الرحمن الرحيم
http://im38.gulfup.com/Dp5jE.gif
-
رد: Trigonometric Equations and Inequations