http://alnasiry.net/forums/uploaded/...1387109970.jpg
عرض للطباعة
السلام عليكم ورحمة الله وبركاته
شكرا ً أخوي العزيزين الأستاذين
عبد النبي يعقوب - حاجم الربيعي
كان لدي خطأ مطبعي في المشتقة وتم تصحيحه والحمد لله
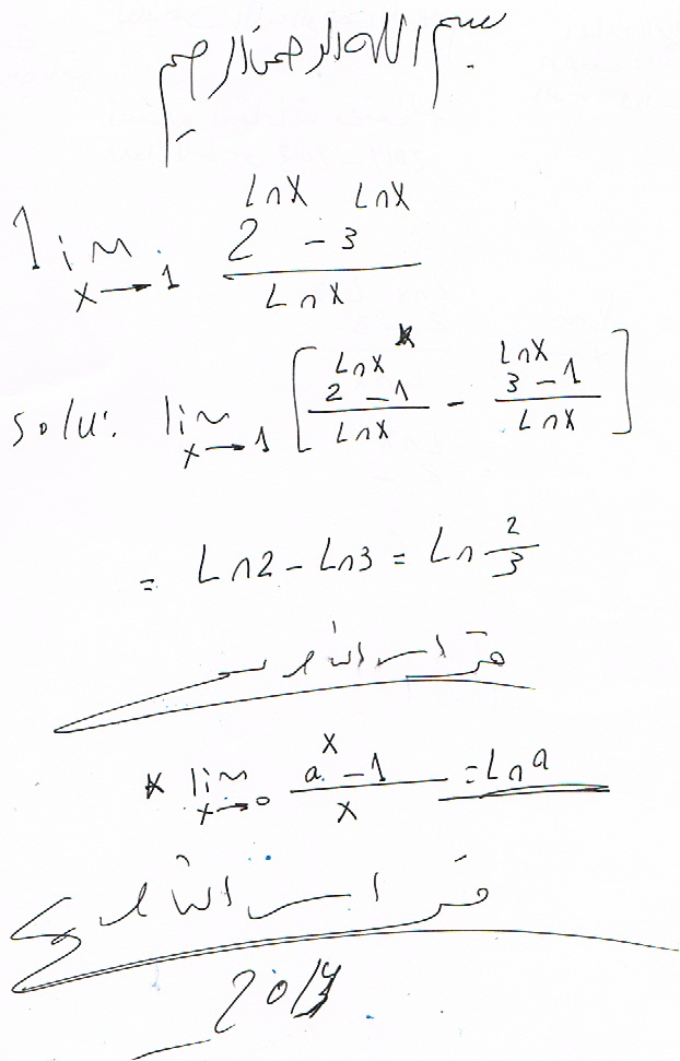
السؤال الثالث
http://alnasiry.net/forums/uploaded/...1388229900.jpg
السلام عليكم أساتذتي الكرام
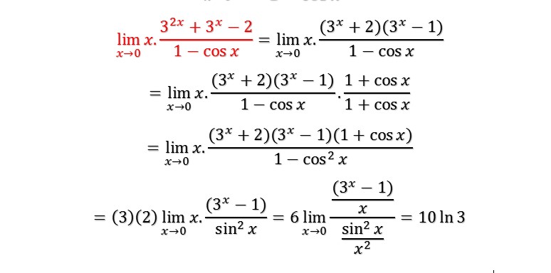
الأستاذ فراس الناصري المحترم : هل ماداخل اللوغاريتم بقي على حاله أم أجريت عليه تغييرا فيصح -x
الأستاذ حاجم الربيعي المحترم : هل قانون اللوغاريتم بهذه الطريقة أستاذي اقصد المرحلة الأخيرة e
اشكركم استاذي
استاذ فراس ارجو مراجعه الحل
السلام عليكم ورحمة الله وبركاته
أتقدم بالشكر الجزيل لأخوتي الاعزاء الاساتذة الكبار
عبدالحميد السيد
حاجم الربيعي
فراس الناصري
عمر محمود
على جهودهم وحلولهم المميزة والرائعة واتمنا ان يكونوا بتمام الصحة والعافية .
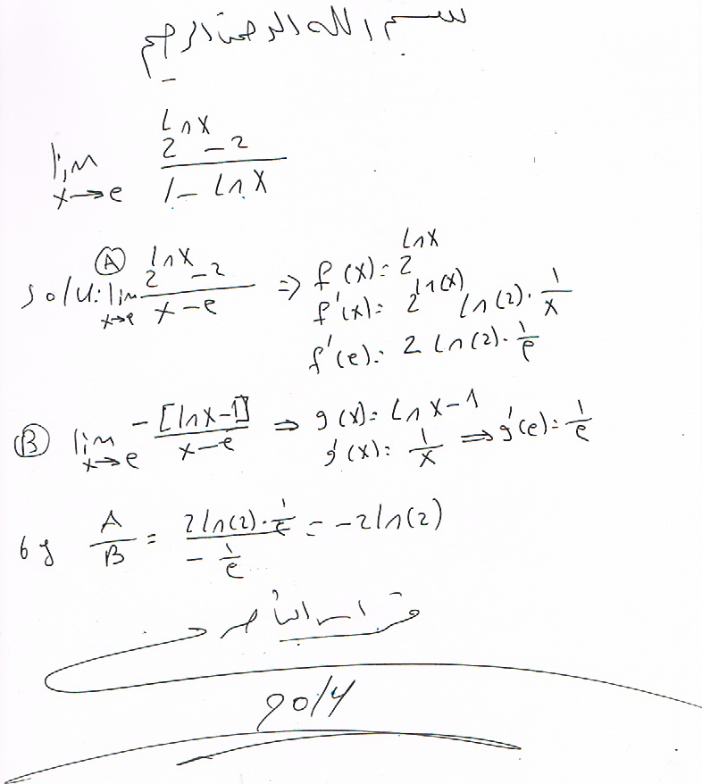
وأقدم لكم السؤال 6.
حل السؤال السادس
http://alnasiry.net/forums/uploaded/...1391093384.jpg
ارجو عدم تكرار الحلول للحفاظ على انسيابية الحلول