السلام عليكم ورحمة الله وبركاته
http://alnasiry.net/forums/uploaded/...1409-49-07.gif
http://alnasiry.net/forums/uploaded/...1411-30-20.gif
عرض للطباعة
السلام عليكم ورحمة الله وبركاته
http://alnasiry.net/forums/uploaded/...1409-49-07.gif
http://alnasiry.net/forums/uploaded/...1411-30-20.gif
السلام عليكم ورحمة الله وبركاته
http://alnasiry.net/forums/uploaded/17896_ffd.jpg
السلام عليكم ورحمة الله وبركاته
http://alnasiry.net/forums/uploaded/17896_fft.jpg
السلام عليكم ورحمة الله وبركاته
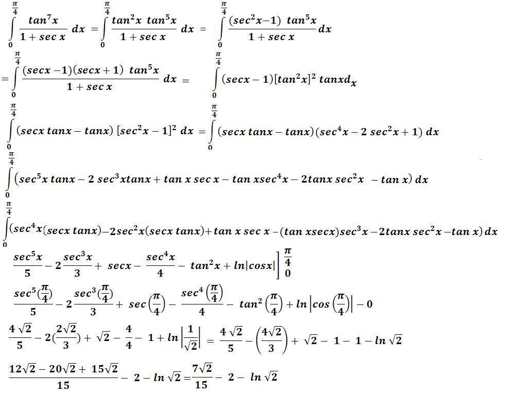
حل التكامل الاول كاملا
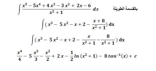
اما التكامل الثانى فأعتقد ان الاستاذ الكبير والمحترم والخلوق/ احمد الجابرى فقد قام بحلة حلا عبقريا
http://alnasiry.net/forums/uploaded/17896_zng.jpg
السلام عليكم ورحمة الله
حل رااائع وبديع ويمكن الحل بطرق اخرى لمن يحب المشاركه
السلام عليكم ورحمة الله وبركاته
http://alnasiry.net/forums/uploaded/17896_c2.jpg
السلام عليكم ورحمة الله وبركاتهhttp://alnasiry.net/forums/uploaded/17896_c3.jpg
السلام عليكم ورحمة الله وبركاته
http://alnasiry.net/forums/uploaded/17896_k2.jpg
السلام عليكم ورحمة الله وبركاته
http://alnasiry.net/forums/uploaded/17896_k1.jpg
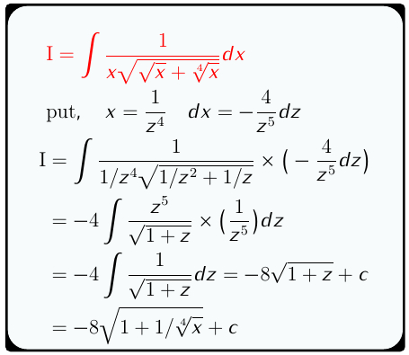
بعد حل الاستاذ القدير والعزيز (مصطفى سعفان) حل يتناسب مع منهج السادس العلمي
http://alnasiry.net/forums/uploaded/...fan-baroon.gif
السلام عليكم ورحمة الله وبركاته
http://alnasiry.net/forums/uploaded/17896_c5.jpg
السلام عليكم ورحمة الله
هذه محاولة للحل ارجو ان تكون موفقة
http://alnasiry.net/forums/uploaded/170_takamel56a.jpg
السلام عليكم ورحمة الله وبركاتة
ارجوا ان يوجد حل ابسط من حلى حيث ان التكامل كان حلة طويلا واضطررت للأختصارات
http://alnasiry.net/forums/uploaded/17896_c14.jpg
استاذي الكبير المبدع اليك الحل بطريقه مختصره
http://im81.gulfup.com/BEIA5x.jpeg
اضرب البسط والمقام في cosx واستعض عن sin^2 x بدلالة cos^2 x تحصل في المقام على cos 5x
اذن التكامل =تكامل sec 5x
=1/5*(ln (sec 5X+tan 5x)