الرجاء ان يكون الحل اكثر تفصيلا ليفهمه الطالب
قد تحتاج ملاحظات الدائرة بالرابط التالي
http://alnasiry.net/forums/showthread.php?t=7918
عرض للطباعة
الرجاء ان يكون الحل اكثر تفصيلا ليفهمه الطالب
قد تحتاج ملاحظات الدائرة بالرابط التالي
http://alnasiry.net/forums/showthread.php?t=7918
الحلول للاستاذ العزيز محمد علي
http://alnasiry.net/forums/uploaded/...le5thq1ans.gif
طرح الاستاذ المتميز شحات جامع ما يلي : ماذا لو كانت النقطة P تقع على القوس الاصغر؟ ، وهي فكرة ممكنة، هذا ما عودنا عليه الاستاذ شحات
سؤال جميل جدا استاذى ولكنه فقط يحتاج من وجهة نظرى لاضافة ان المثلث حاد الزوايا
من الملاحظ ان مركز الدائرة هى نقطة الاصل وبملاحظة ان r هى صورةqبالدوران حول نقطة الاصل بزاوية 90 اذن ق القوس rq =90
وهنا توجد حالتان (1) اذاكانت النقطة pتنتمى القوس الاكبر qrفان قياسها = نصف القوس qr=45
واذا كانت تنتمى القوس الاصغريكون قياسها 135 وبالتالى ذكر ان المثلث حاد الزويا ضرورى
http://alnasiry.net/forums/uploaded/2_circle5th2kk.gif
قد تحتاج ملاحظات الدائرة بالرابط التالي
http://alnasiry.net/forums/showthread.php?t=7918
هذه الاسئلة وضعت في منتدى الرياضيات المعاصرة ، بسرعة تمت الاجابة ، لكن في منتدانا ارى خمولا
شكرا استاذ محمد الشرهان حل متقن ودقيق
لكن من السطر الثالث انتهى الحل
اين حل الاسئلة المتبقية
اين باقي الحل؟؟؟؟؟؟؟؟؟؟؟؟؟!!!!!!!!!!!!!!!!!!!!!!!!!!!!!!!!! !!!!!!!!!!!!!!!!!
قد تحتاج خواص الدئرة على الرابط
http://alnasiry.net/forums/showthread.php?t=7918
http://alnasiry.net/forums/uploaded/2_circle3.gif
السلا عليكم ورحمة الله وبركاته
http://alnasiry.net/forums/uploaded/17896_xf~1.jpg
http://alnasiry.net/forums/uploaded/17896_as~1.jpg
سقطت سهوا علامة التربيع على الـــــــ ( y) فى السؤال رقم 13 وذلك بالسطر الاول ولذا وجب التنبيه
انقل لكم حل الاسئلة Q11,Q12,Q13في منتدى الرياضيات المعاصرة\ وليد زوال
http://www.mathmontada.net/vb/upload...1392852150.jpg
http://www.mathmontada.net/vb/upload...1392852643.jpg
http://www.mathmontada.net/vb/upload...1392889924.jpg
اعتقد ان السؤال 15 ستتأخر اجابته
بسم الله الرحمن الرحيم
السلام عليكم ورحمة الله وبركاته
ما معنى أن الدائرتين متعامدتين
بسم الله الرحمن الرحيم
وعليكم السلام ورحمة الله وبركاته
اهلا وسهلا بالاستاذ الكبير والاخ العزيز ولبد زوال
الفقرة العاشرة تعطي التعريف الذي سألت عنه
وساتابع الموضوع في الزيادة في الاسئلة
حياك الله
http://alnasiry.net/forums/uploaded/2_circlenote2.gif
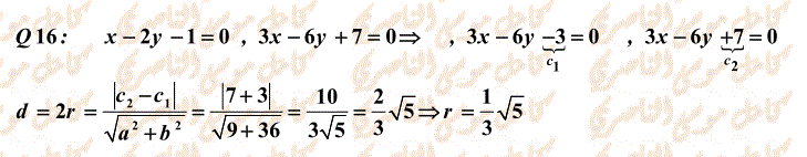
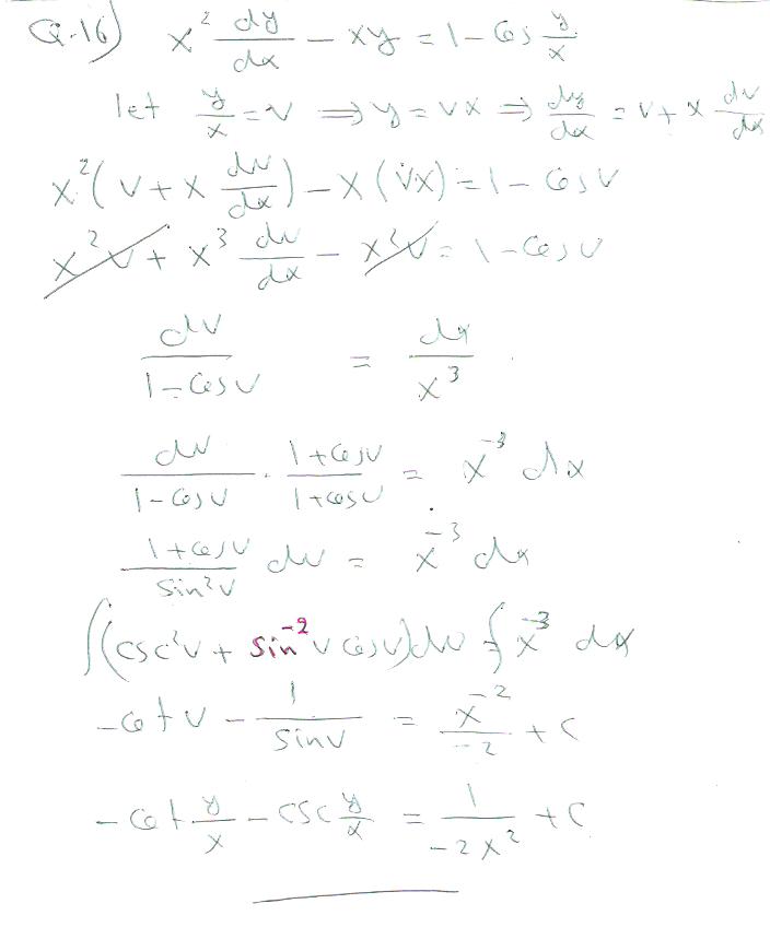
السلام عليكم استاذ محمد الشرهان
هنالك طريقة اخرى لحل سؤال 16
http://alnasiry.net/forums/uploaded/2_circleq16.gif
[السؤال التاسع عشر
[URL="http://alnasiry.net/forums"][IMG]http://alnasiry.net/forums/uploaded/18610_01399415730.gif]
السؤال التاسع عشرhttp://alnasiry.net/forums/uploaded/...1399415730.gif
Q20 ??????????????????????????????????
http://alnasiry.net/forums/uploaded/2_circleq20.gif
[URL="http://alnasiry.net/forums"]http://alnasiry.net/forums/uploaded/...1399635977.jpg[/URL]
[URL="http://alnasiry.net/forums"]http://alnasiry.net/forums/uploaded/...1400012895.jpg[/URL]
[URL="http://alnasiry.net/forums"]http://alnasiry.net/forums/uploaded/...1400013753.jpg[/URL]
استفسار فى السؤال 28 هل س2 + ص2 = أ أم أ2
طرحك مضبوط وشكرا لك