عرض للطباعة
اعتقد ان السؤال لا يجب ان يتأخر
حل الاستاذ/ صلاح احمد
http://www.mathmontada.net/vb/upload...1400423022.jpg
اعتقد السؤال المطروح غير المحلول استاذ محمد
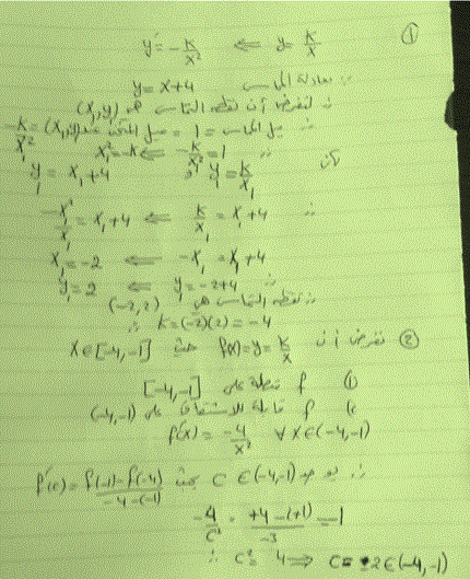
بعد الحل الرائع من قبل الاستاذ المبدع علي الاسدي اقدم حلا اخر
http://alnasiry.net/forums/uploaded/2_day151ans.gif
الطريقة المباشرة في الحل
http://alnasiry.net/forums/uploaded/2_day152ans.gif
يمكن حل التمرين باستخدا نظرية دي موافر
السلام عليم سيد صلاح
احفظ الصورة على شكل gif حتى تكون مساحتها صغير فيسهل فتحها ، شكرا
اعدت طباعة الصورة على شكل gif كما موجودة اعلاه فاصبح حجمها 127 kb
اما مساحة الصورة التي حفظتها في المنتد فتساوي 1280 kb
ملف مرفق 392
السيد صلاح : تم حذف السؤال واستبداله لحين تغيير الفترة
http://alnasiry.net/forums/uploaded/2_day155.jpg
بعد الحل الرائع من قبل الاستاذ الكبير (احمد الجابري)
http://alnasiry.net/forums/uploaded/15125_area2.gif
بعد الحل الرائع والمتميز من قبل استاذنا الكبير (احمد الجابري)
http://alnasiry.net/forums/uploaded/15125_circle+1.gif
http://alnasiry.net/forums/uploaded/15125_circle+3.gif
?????????????????????????????????????????????????? ?????
http://alnasiry.net/forums/uploaded/2_aid.gif
من بداية الشهر السادس والسؤال 160 لم يحل
http://alnasiry.net/forums/uploaded/2_day161.gif
???????????????????????????????????????
???????????????????????????????????