آخر المشاركات

الزائر الكريم:تستطيع مشاهدة كل المواضيع بدون شرط العضوية لكن مشاركتك تحتاج عضوية المنتدى
النتائج 1 إلى 2 من 2

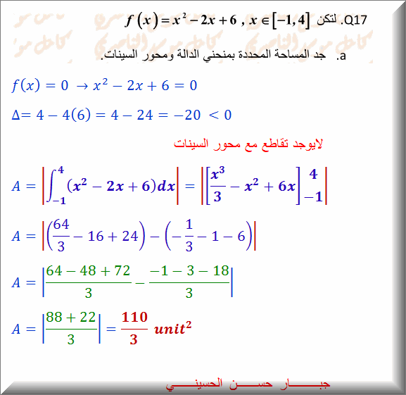
الموضوع: Area

العرض المتطور

المشاركة السابقة المشاركة السابقة   المشاركة التالية المشاركة التالية
  1. Top | #1

    تاريخ التسجيل
    Sep 2012
    رقم العضوية
    15125
    اللقب
    استاذ متميز ( خبير عام )
    معدل المشاركات
    0.35
    الدولة
    العراق / النجف الاشرف 07802542163
    المشاركات
    1,728
    Thanked: 2679

    Area


  2. The Following 6 Users Say Thank You to جبار الحسيني For This Useful Post:

     (01-23-2016),  (01-21-2016),  (01-21-2016),  (01-21-2016),  (01-21-2016),  (01-22-2016)

  3. Top | #2

    تاريخ التسجيل
    Mar 2011
    رقم العضوية
    9
    اللقب
    مدير الادارة
    معدل المشاركات
    0.54
    الدولة
    العراق _ النجف الاشرف-
    المشاركات
    2,996
    Thanked: 3762

    رد: Area


  4. The Following 3 Users Say Thank You to احمد الجابري For This Useful Post:

     (01-23-2016),  (01-22-2016),  (01-22-2016)

معلومات الموضوع

الأعضاء الذين يشاهدون هذا الموضوع

الذين يشاهدون الموضوع الآن: 1 (0 من الأعضاء و 1 زائر)

ضوابط المشاركة

  • لا تستطيع إضافة مواضيع جديدة
  • لا تستطيع الرد على المواضيع
  • لا تستطيع إرفاق ملفات
  • لا تستطيع تعديل مشاركاتك
  •  

مواضيع لم يتم الرد عليها


Powered by vBulletin® Version 4.2.3
Copyright © 2026 vBulletin Solutions, Inc. All rights reserved.
Translate By Almuhajir
Developed By Marco Mamdouh
Style
تطوير ودعم شركة Zavord