آخر المشاركات

الزائر الكريم:تستطيع مشاهدة كل المواضيع بدون شرط العضوية لكن مشاركتك تحتاج عضوية المنتدى

مشاهدة نتائج الإستطلاع: هل أعجبك نوع الاسئلة

المصوتون
9. أنت لم تصوت في هذا الإستطلاع
  • نعم وهي جيدة جدا

    9 100.00%
  • نعم وهي متوسطة المستوى

    0 0%
  • كلا فهي بسيطة لا ترقى للمستوى العام

    0 0%
  • كلا فهي دون المستوى المتوسط

    0 0%
إستطلاع متعدد الإختيارات.
صفحة 5 من 6 الأولىالأولى 123456 الأخيرةالأخيرة
النتائج 49 إلى 60 من 70
  1. Top | #49

    تاريخ التسجيل
    Feb 2011
    رقم العضوية
    2
    اللقب
    المدير العام للمنتدى
    معدل المشاركات
    1.65
    الدولة
    العراق 07701766668 / 07800055259
    المشاركات
    9,136
    Thanked: 7429

    رد: Training in Mathematics CH1-1


    Evaluate





  2. The Following 4 Users Say Thank You to كامل موسى الناصري For This Useful Post:

     (07-11-2017),  (07-10-2017),  (07-10-2017),  (07-09-2017)

  3. Top | #50

    تاريخ التسجيل
    Dec 2013
    رقم العضوية
    18045
    اللقب
    من اساتذة المنتدى
    معدل المشاركات
    0.14
    الدولة
    العراق - البصرة
    المشاركات
    623
    Thanked: 1053

    رد: Training in Mathematics CH1-1


  4. The Following 2 Users Say Thank You to عادل الكعبي For This Useful Post:

     (07-10-2017),  (07-11-2017)

  5. Top | #51

    تاريخ التسجيل
    Dec 2013
    رقم العضوية
    18045
    اللقب
    من اساتذة المنتدى
    معدل المشاركات
    0.14
    الدولة
    العراق - البصرة
    المشاركات
    623
    Thanked: 1053

    رد: Training in Mathematics CH1-1

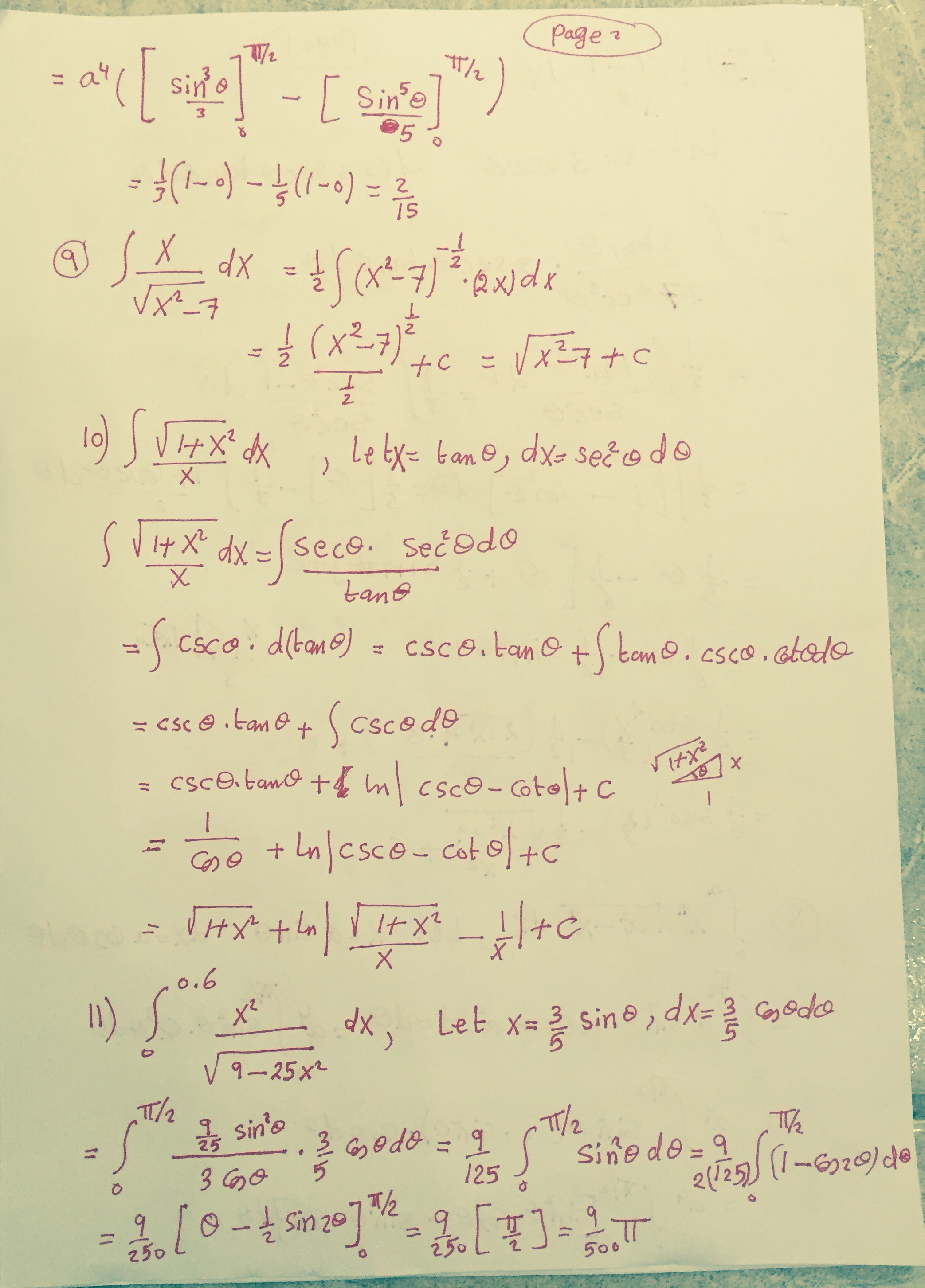
    َQ 17
    خطأ مطبعي // السطر ما قبل الاخير التكامل الاخير مضروب بـ ( 2) وناتجه ( 2sin(theta-

  6. The Following User Says Thank You to عادل الكعبي For This Useful Post:

     (07-10-2017)

  7. Top | #52

    تاريخ التسجيل
    Dec 2013
    رقم العضوية
    18045
    اللقب
    من اساتذة المنتدى
    معدل المشاركات
    0.14
    الدولة
    العراق - البصرة
    المشاركات
    623
    Thanked: 1053

    رد: Training in Mathematics CH1-1


  8. The Following User Says Thank You to عادل الكعبي For This Useful Post:

     (07-10-2017)

  9. Top | #53

    تاريخ التسجيل
    Sep 2012
    رقم العضوية
    15125
    اللقب
    استاذ متميز ( خبير عام )
    معدل المشاركات
    0.35
    الدولة
    العراق / النجف الاشرف 07802542163
    المشاركات
    1,728
    Thanked: 2679

    رد: Training in Mathematics CH1-1


  10. The Following 2 Users Say Thank You to جبار الحسيني For This Useful Post:

     (07-11-2017),  (07-11-2017)

  11. Top | #54

    تاريخ التسجيل
    Sep 2012
    رقم العضوية
    15125
    اللقب
    استاذ متميز ( خبير عام )
    معدل المشاركات
    0.35
    الدولة
    العراق / النجف الاشرف 07802542163
    المشاركات
    1,728
    Thanked: 2679

    رد: Training in Mathematics CH1-1


  12. The Following 2 Users Say Thank You to جبار الحسيني For This Useful Post:

     (07-11-2017),  (07-11-2017)

  13. Top | #55

    تاريخ التسجيل
    Feb 2014
    رقم العضوية
    18677
    اللقب
    استاذ متميز (خبير عام)
    معدل المشاركات
    0.66
    المشاركات
    2,918
    Thanked: 3602

    رد: Training in Mathematics CH1-1


  14. The Following 2 Users Say Thank You to صلاح احمد For This Useful Post:

     (07-11-2017),  (07-11-2017)

  15. Top | #56

    تاريخ التسجيل
    Feb 2014
    رقم العضوية
    18677
    اللقب
    استاذ متميز (خبير عام)
    معدل المشاركات
    0.66
    المشاركات
    2,918
    Thanked: 3602

    رد: Training in Mathematics CH1-1


  16. The Following 2 Users Say Thank You to صلاح احمد For This Useful Post:

     (07-11-2017),  (07-11-2017)

  17. Top | #57

    تاريخ التسجيل
    Feb 2014
    رقم العضوية
    18677
    اللقب
    استاذ متميز (خبير عام)
    معدل المشاركات
    0.66
    المشاركات
    2,918
    Thanked: 3602

    رد: Training in Mathematics CH1-1


  18. The Following 2 Users Say Thank You to صلاح احمد For This Useful Post:

     (07-11-2017),  (07-11-2017)

  19. Top | #58

    تاريخ التسجيل
    Feb 2014
    رقم العضوية
    18677
    اللقب
    استاذ متميز (خبير عام)
    معدل المشاركات
    0.66
    المشاركات
    2,918
    Thanked: 3602

    رد: Training in Mathematics CH1-1


  20. The Following 2 Users Say Thank You to صلاح احمد For This Useful Post:

     (07-11-2017),  (07-11-2017)

  21. Top | #59

    تاريخ التسجيل
    Feb 2014
    رقم العضوية
    18677
    اللقب
    استاذ متميز (خبير عام)
    معدل المشاركات
    0.66
    المشاركات
    2,918
    Thanked: 3602

    رد: Training in Mathematics CH1-1


  22. The Following 2 Users Say Thank You to صلاح احمد For This Useful Post:

     (07-11-2017),  (07-11-2017)

  23. Top | #60

    تاريخ التسجيل
    Feb 2011
    رقم العضوية
    2
    اللقب
    المدير العام للمنتدى
    معدل المشاركات
    1.65
    الدولة
    العراق 07701766668 / 07800055259
    المشاركات
    9,136
    Thanked: 7429

    رد: Training in Mathematics CH1-1


  24. The Following User Says Thank You to كامل موسى الناصري For This Useful Post:

     (07-12-2017)

صفحة 5 من 6 الأولىالأولى 123456 الأخيرةالأخيرة

معلومات الموضوع

الأعضاء الذين يشاهدون هذا الموضوع

الذين يشاهدون الموضوع الآن: 2 (0 من الأعضاء و 2 زائر)

ضوابط المشاركة

  • لا تستطيع إضافة مواضيع جديدة
  • لا تستطيع الرد على المواضيع
  • لا تستطيع إرفاق ملفات
  • لا تستطيع تعديل مشاركاتك
  •  

مواضيع لم يتم الرد عليها


Powered by vBulletin® Version 4.2.3
Copyright © 2026 vBulletin Solutions, Inc. All rights reserved.
Translate By Almuhajir
Developed By Marco Mamdouh
Style
تطوير ودعم شركة Zavord