:
3 5 12345
25 36 58

:

  1. Top | #25

    Feb 2011
    2
    1.64
    07701766668 / 07800055259
    9,141
    Thanked: 7430

    :




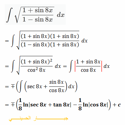
    \[Evaluate:\,\,\int {\sqrt {\frac{{1 + \sin 8x}}{{1 - \sin 8x}}} } \,\,dx\]


  2. The Following User Says Thank You to For This Useful Post:

     (03-03-2019)

  3. Top | #26

    Sep 2012
    15125
    ( )
    0.35
    / 07802542163
    1,728
    Thanked: 2679

    :



  4. The Following 2 Users Say Thank You to For This Useful Post:

     (03-05-2019),  (03-03-2019)

  5. Top | #27

    Oct 2011
    541
    0.57
    3,046
    Thanked: 2931
    [URL="http://alnasiry.net/forums"][IMG]http://alnasiry.net/forums/uploaded/2_iraqiflag.gif[/IMG][/URL]


  6. The Following 2 Users Say Thank You to For This Useful Post:

     (03-05-2019),  (03-06-2019)

  7. Top | #28

    Feb 2011
    2
    1.64
    07701766668 / 07800055259
    9,141
    Thanked: 7430

    :


  8. The Following User Says Thank You to For This Useful Post:

     (03-11-2019)

  9. Top | #29

    Feb 2011
    2
    1.64
    07701766668 / 07800055259
    9,141
    Thanked: 7430

    :

    \[\int\limits_0^{\pi /2} {\frac{2}{{{{\cos }^2}\theta + 4{{\sin }^2}\theta }}\,\,d\theta } \,\,\]

  10. The Following User Says Thank You to For This Useful Post:

     (03-07-2019)

  11. Top | #30

    Feb 2014
    18677
    ( )
    0.66
    2,966
    Thanked: 3626
    ; 03-07-2019 03:00 AM

  12. The Following User Says Thank You to For This Useful Post:

     (03-07-2019)

  13. Top | #31

    Feb 2011
    2
    1.64
    07701766668 / 07800055259
    9,141
    Thanked: 7430

    :


    \[Evaluate:\int\limits_0^\infty {{x^2}{e^{ - x}}} \,dx\]

  14. The Following User Says Thank You to For This Useful Post:

     (03-07-2019)

  15. Top | #32

    Sep 2012
    15125
    ( )
    0.35
    / 07802542163
    1,728
    Thanked: 2679

    :



  16. The Following User Says Thank You to For This Useful Post:

     (03-07-2019)

  17. Top | #33

    Feb 2011
    2
    1.64
    07701766668 / 07800055259
    9,141
    Thanked: 7430

    :

    :

    \[\begin{array}{l}
    \left( 1 \right)\,\,\,\,\int_0^a {f\left( x \right)} \,dx = \,\int_0^a {f\left( {a - x} \right)} \,dx\\
    \left( 2 \right)\,\,\,\,\int_a^b {f\left( x \right)} \,dx = \,\int_a^b {f\left( {a + b - x} \right)} \,dx\\
    \left( 3 \right)\,\,\,\,\int_{ - a}^a {f\left( {{x^2}} \right)} \,dx = \,2\int_0^a {f\left( {{x^2}} \right)} \,dx\\
    \left( 4 \right)\,\,\,\,\int_0^{\pi /2} {{{\sin }^2}x} \,dx = \,\,\int_0^{\pi /2} {{{\cos }^2}x} \,dx
    \end{array}\]












  18. The Following 2 Users Say Thank You to For This Useful Post:

     (03-14-2019),  (03-14-2019)

  19. Top | #34

    Mar 2011
    9
    0.54
    _ -
    2,996
    Thanked: 3762

    :

    ****


  20. The Following 2 Users Say Thank You to For This Useful Post:

     (03-15-2019),  (03-14-2019)

  21. Top | #35

    Mar 2011
    9
    0.54
    _ -
    2,996
    Thanked: 3762

    :


  22. The Following 2 Users Say Thank You to For This Useful Post:

     (03-15-2019),  (03-14-2019)

  23. Top | #36

    Feb 2011
    2
    1.64
    07701766668 / 07800055259
    9,141
    Thanked: 7430

    :





    \[\begin{array}{l}
    \left( 2 \right)\,\,\,\int\limits_a^b {f\left( {a + b - x} \right)} \,\,dx = \int\limits_a^b {f\left( x \right)} \,\,dx\\
    The\,\,\Pr ove\,:\\
    Putting\,\,a + b - x = y\,\,\,then\,\,\, - dx = dy\,\,\,,\,\\
    \,\,\,\,\,\,\,\,\,\,\,\,\,\,\,\,\,\,\,\,\,\,\,\,wh en\,\,x = a \Rightarrow y = b\,\,and\,\,\,when\,\,x = b \Rightarrow y = a\\
    \,\,\,\int\limits_a^b {f\left( {a + b - x} \right)} \,\,dx = \,\int\limits_b^a {f\left( y \right)} \,\left( {\, - dy} \right) = \underbrace {\int\limits_a^b {f\left( y \right)} \,\,dy = \int\limits_a^b {f\left( x \right)} \,\,dx}_{Changing\,y\,to\,x}
    \end{array}\]


  24. The Following 2 Users Say Thank You to For This Useful Post:

     (03-15-2019),  (03-15-2019)

3 5 12345

: 1 (0 1 )


Powered by vBulletin® Version 4.2.3
Copyright © 2026 vBulletin Solutions, Inc. All rights reserved.
Translate By Almuhajir
Developed By Marco Mamdouh
Style
Zavord