الزائر الكريم:تستطيع مشاهدة كل المواضيع بدون شرط العضوية لكن مشاركتك تحتاج عضوية المنتدى
-
06-14-2020, 12:43 PM
Top |
#13
رد: ceilling and floor functions
-
The Following 3 Users Say Thank You to جليل الزيادي For This Useful Post:
-
06-19-2020, 11:52 AM
Top |
#14
رد: ceilling and floor functions
شكرا جزيلا استاذنا القدير (جليل الزيادي)
-
The Following 2 Users Say Thank You to جبار الحسيني For This Useful Post:
-
06-19-2020, 12:52 PM
Top |
#15
رد: ceilling and floor functions
التعديل الأخير تم بواسطة جليل الزيادي ; 06-19-2020 الساعة 04:06 PM
-
The Following User Says Thank You to جليل الزيادي For This Useful Post:
-
06-19-2020, 01:50 PM
Top |
#16
رد: ceilling and floor functions
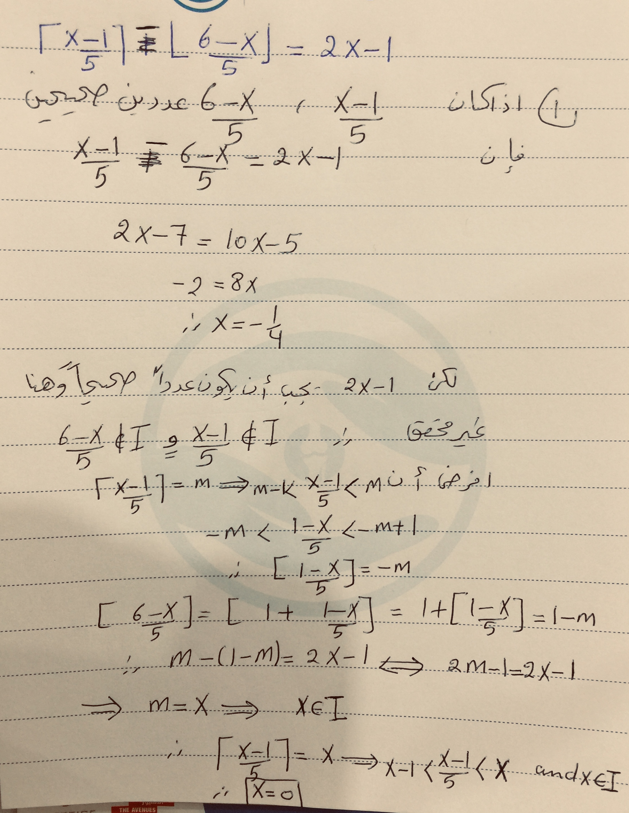
ف السطر الاخيرمن المعادلة الطرف الايمن هو عدد صحيح لذا الجواب هو الصفر فقط
التعديل الأخير تم بواسطة صلاح احمد ; 06-19-2020 الساعة 01:53 PM
-
The Following 2 Users Say Thank You to صلاح احمد For This Useful Post:
-
06-19-2020, 02:56 PM
Top |
#17
رد: ceilling and floor functions
-
The Following 3 Users Say Thank You to صلاح احمد For This Useful Post:
-
06-21-2020, 01:30 PM
Top |
#18
رد: ceilling and floor functions
شكرا جزيلا للاستاذين القديرين
جليل الزيادي - صلاح احمد

-
The Following 2 Users Say Thank You to جبار الحسيني For This Useful Post:
-
06-22-2020, 01:35 PM
Top |
#19
رد: ceilling and floor functions
-
The Following User Says Thank You to صلاح احمد For This Useful Post:
-
06-23-2020, 10:58 AM
Top |
#20
رد: ceilling and floor functions
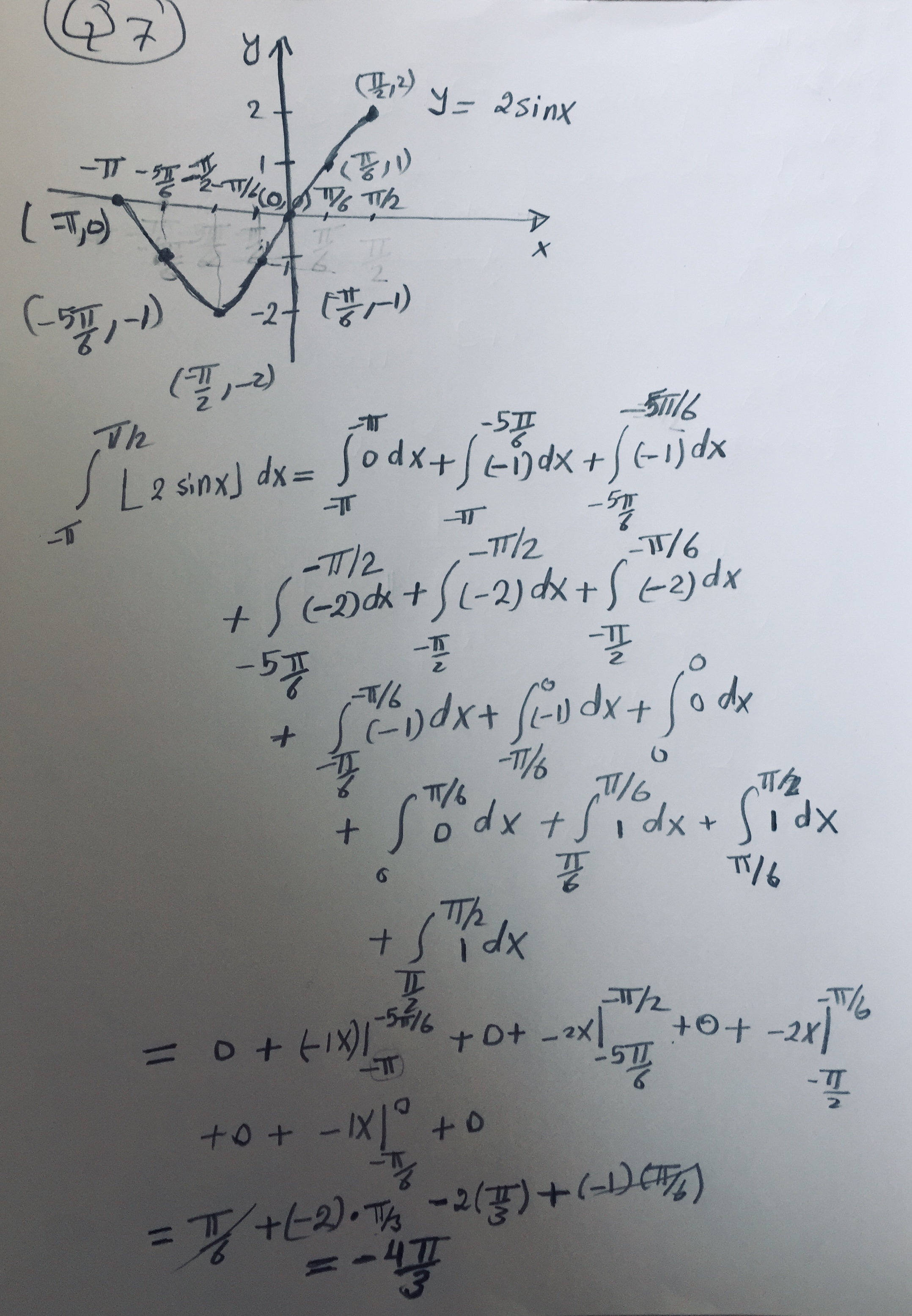
محاوله للثاني
-
The Following 2 Users Say Thank You to جليل الزيادي For This Useful Post:
-
06-28-2020, 11:26 PM
Top |
#21
رد: ceilling and floor functions
شكرا جزيلا للاستاذين القديرين
صلاح احمد - جليل الزيادي
-
-
06-29-2020, 09:51 AM
Top |
#22
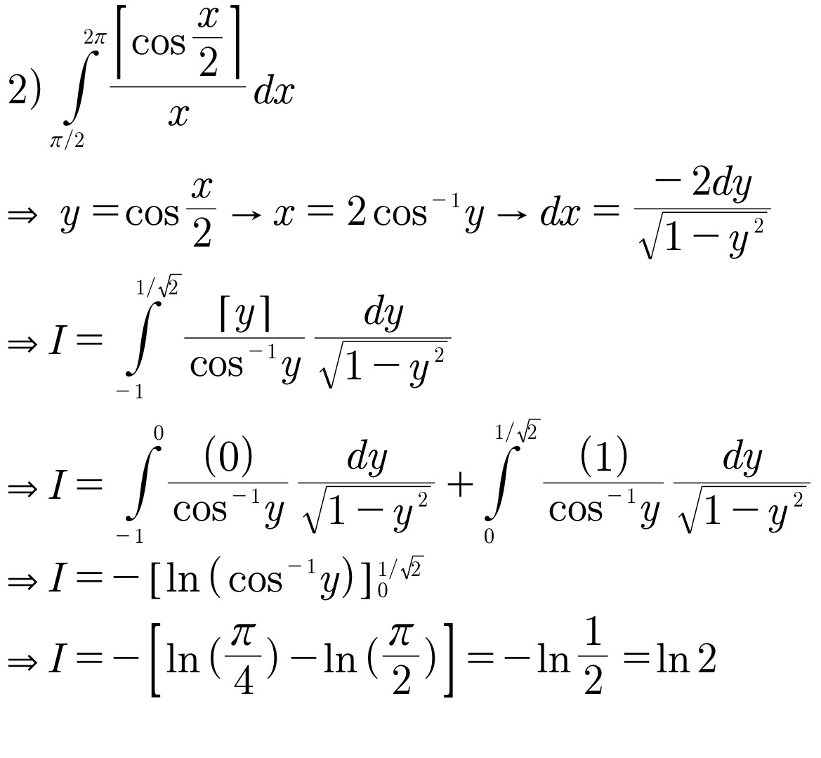
رد: ceilling and floor functions
-
The Following 2 Users Say Thank You to صلاح احمد For This Useful Post:
-
06-30-2020, 03:05 PM
Top |
#23
رد: ceilling and floor functions
شكرا جزيلا للاستاذ القدير
صلاح احمد
-
The Following User Says Thank You to جبار الحسيني For This Useful Post:
-
06-30-2020, 04:13 PM
Top |
#24
رد: ceilling and floor functions
-
The Following User Says Thank You to صلاح احمد For This Useful Post:
معلومات الموضوع
الأعضاء الذين يشاهدون هذا الموضوع
الذين يشاهدون الموضوع الآن: 6 (0 من الأعضاء و 6 زائر)
ضوابط المشاركة
- لا تستطيع إضافة مواضيع جديدة
- لا تستطيع الرد على المواضيع
- لا تستطيع إرفاق ملفات
- لا تستطيع تعديل مشاركاتك
-
قوانين المنتدى