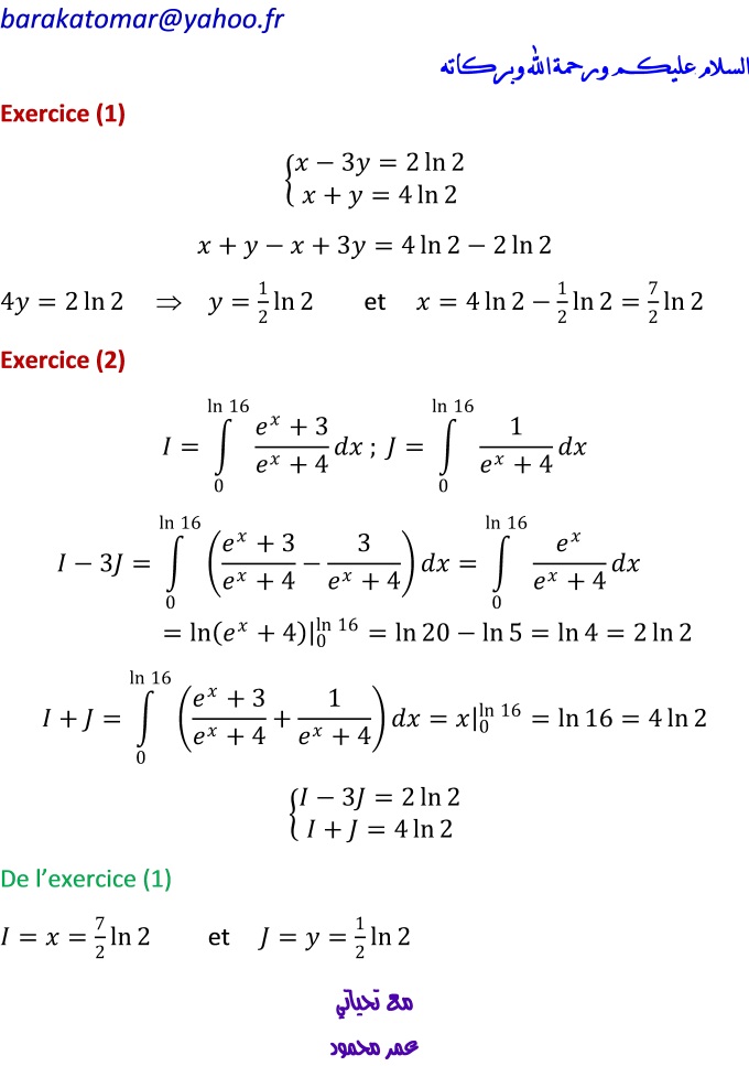
19 ( 1) ***Hyperbola conic \ \
integration /
: 1 (0 1 )
Powered by vBulletin® Version 4.2.3 Copyright © 2026 vBulletin Solutions, Inc. All rights reserved. Translate By AlmuhajirDeveloped By Marco Mamdouh Style Zavord