
-
-
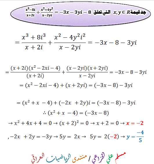
- x,y
:
-
07-27-2013, 01:12 PM
Top |
#1
-
The Following User Says Thank You to For This Useful Post:
-
07-27-2013, 02:17 PM
Top |
#2
-
The Following User Says Thank You to muhee1966 For This Useful Post:
-
07-27-2013, 02:26 PM
Top |
#3
: x,y
[IMG]
[/IMG][IMG][/IMG]
-
The Following 5 Users Say Thank You to For This Useful Post:
-
07-27-2013, 04:03 PM
Top |
#4
-
The Following 5 Users Say Thank You to For This Useful Post:
Powered by vBulletin® Version 4.2.3
Copyright © 2026 vBulletin Solutions, Inc. All rights reserved.
Translate By
Almuhajir
Developed By Marco Mamdouh
Style
Zavord