:
1 2 2

:

  1. Top | #1

    Sep 2013
    17046
    0.01
    27
    Thanked: 8

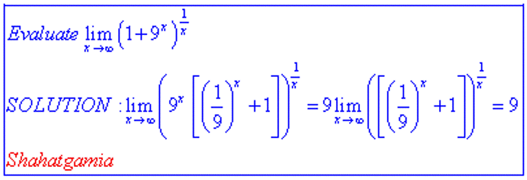
    : ( 1 + 9 ^ ) ^1\ .

  2. Top | #2

    Apr 2012
    14850
    0.21
    ------ 01117317850
    1,048
    Thanked: 1429

    :


  3. The Following 2 Users Say Thank You to For This Useful Post:

     (01-09-2014),  (01-09-2014)

: 1 (0 1 )


Powered by vBulletin® Version 4.2.3
Copyright © 2026 vBulletin Solutions, Inc. All rights reserved.
Translate By Almuhajir
Developed By Marco Mamdouh
Style
Zavord