آخر المشاركات

الزائر الكريم:تستطيع مشاهدة كل المواضيع بدون شرط العضوية لكن مشاركتك تحتاج عضوية المنتدى
النتائج 1 إلى 3 من 3

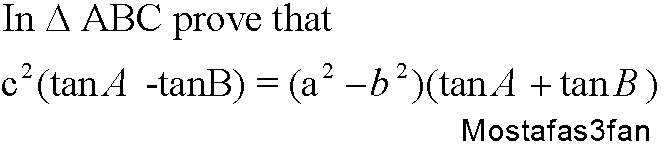
الموضوع: Prove 2

  1. Top | #1

  2. The Following 3 Users Say Thank You to مصطفى سعفان For This Useful Post:

     (01-04-2014),  (01-04-2014),  (01-04-2014)

  3. Top | #2

    تاريخ التسجيل
    Nov 2011
    رقم العضوية
    614
    اللقب
    عضو
    معدل المشاركات
    0.45
    الدولة
    سوريــا - حلـــب
    المشاركات
    2,390
    Thanked: 2108

    رد: Prove 2

    اقتباس المشاركة الأصلية كتبت بواسطة مصطفى سعفان مشاهدة المشاركة
    السلام عليكم ورحمة الله وبركاته




  4. The Following 2 Users Say Thank You to عبد الحميد السيد For This Useful Post:

     (01-07-2014),  (01-04-2014)

  5. Top | #3

    تاريخ التسجيل
    Oct 2011
    رقم العضوية
    541
    اللقب
    عضو
    معدل المشاركات
    0.58
    المشاركات
    3,046
    Thanked: 2931

    رد: Prove 2

    [URL="http://alnasiry.net/forums"][IMG]http://alnasiry.net/forums/uploaded/2_iraqiflag.gif[/IMG][/URL]
    من مواضيع


  6. The Following 3 Users Say Thank You to حاجم الربيعي For This Useful Post:

     (01-07-2014),  (01-04-2014),  (01-04-2014)

معلومات الموضوع

الأعضاء الذين يشاهدون هذا الموضوع

الذين يشاهدون الموضوع الآن: 1 (0 من الأعضاء و 1 زائر)

ضوابط المشاركة

  • لا تستطيع إضافة مواضيع جديدة
  • لا تستطيع الرد على المواضيع
  • لا تستطيع إرفاق ملفات
  • لا تستطيع تعديل مشاركاتك
  •  

مواضيع لم يتم الرد عليها


Powered by vBulletin® Version 4.2.3
Copyright © 2026 vBulletin Solutions, Inc. All rights reserved.
Translate By Almuhajir
Developed By Marco Mamdouh
Style
تطوير ودعم شركة Zavord