cscx
(cscx + cotx)
(03-30-2014), (03-30-2014)
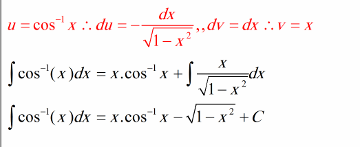
x cosx^-1
[URL="http://alnasiry.net/forums"][IMG]http://alnasiry.net/forums/uploaded/2_iraqiflag.gif[/IMG][/URL] 1981
(03-31-2014), (03-31-2014), (03-31-2014)
1 /18-x^2
18 x x 18
x
...
(04-01-2014), (04-02-2014), (04-01-2014)
(( )) ( ... 2015 ( ) 2 () (... ( )
: 1 (0 1 )
Powered by vBulletin® Version 4.2.3 Copyright © 2026 vBulletin Solutions, Inc. All rights reserved. Translate By AlmuhajirDeveloped By Marco Mamdouh Style Zavord