... ...
(12-17-2014), (12-17-2014), (12-17-2014), (12-17-2014)
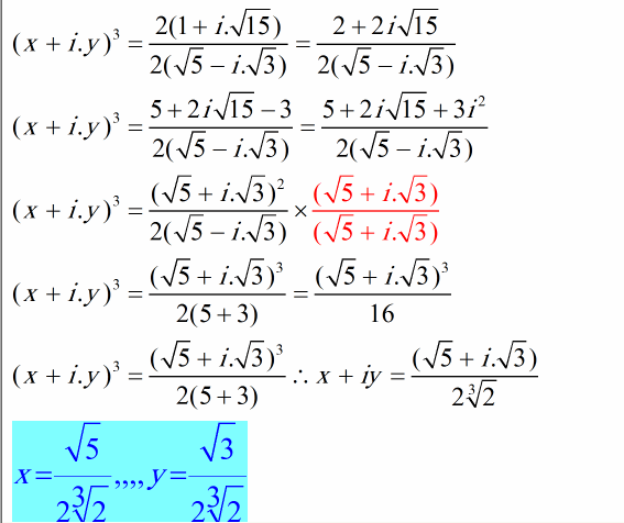
x , y
[URL="http://alnasiry.net/forums"][IMG]http://alnasiry.net/forums/uploaded/2_iraqiflag.gif[/IMG][/URL] -2 -
(12-17-2014), (12-17-2014), (12-17-2014), (12-17-2014), (12-17-2014)
3 3 x and y
(12-17-2014), (12-17-2014)
3 3 x and y (1) (2)
[URL="http://alnasiry.net/forums"][IMG]http://alnasiry.net/forums/uploaded/2_iraqiflag.gif[/IMG][/URL] : Permutations and combinations \
(12-17-2014), (12-18-2014), (12-17-2014), (12-18-2014)
... .......
... ... ...
(12-17-2014), (12-18-2014)
: x and y
: 1 (0 1 )
Powered by vBulletin® Version 4.2.3 Copyright © 2026 vBulletin Solutions, Inc. All rights reserved. Translate By AlmuhajirDeveloped By Marco Mamdouh Style Zavord