:
1 11 11

:

  1. Top | #1

    Oct 2011
    491
    0.07
    367
    Thanked: 155








  2. The Following User Says Thank You to For This Useful Post:

     (04-20-2015)

  3. Top | #2

    Oct 2011
    491
    0.07
    367
    Thanked: 155

    :

    22 23

  4. Top | #3

    May 2014
    19175
    ( )
    0.39
    1,725
    Thanked: 2677

    :

    23

  5. The Following 3 Users Say Thank You to For This Useful Post:

     (04-20-2015),  (04-21-2015),  (04-21-2015)

  6. Top | #4

    May 2014
    19175
    ( )
    0.39
    1,725
    Thanked: 2677

    :


  7. The Following 3 Users Say Thank You to For This Useful Post:

     (04-20-2015),  (04-21-2015),  (04-21-2015)

  8. Top | #5

    Oct 2011
    491
    0.07
    367
    Thanked: 155

    :

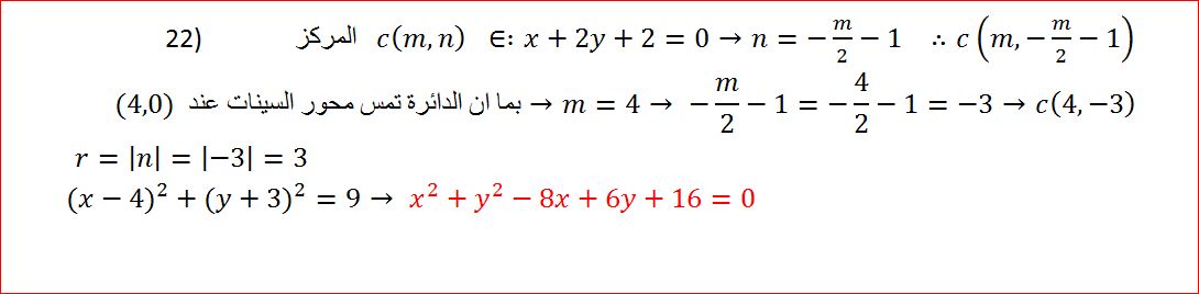
    x2 +y2-8x+6y+16=0

    x2+y2-8x+2y+16=0

    B=12/2 =6 4/2=2



  9. The Following 2 Users Say Thank You to For This Useful Post:

     (04-20-2015),  (04-20-2015)

  10. Top | #6

    Oct 2011
    491
    0.07
    367
    Thanked: 155

    :

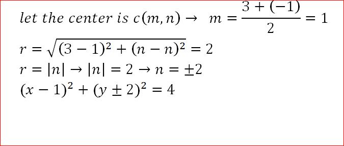
    15 23

  11. Top | #7

    Dec 2013
    18045
    0.14
    -
    623
    Thanked: 1053

    :

    4 =2/[ ( 2- ) - 6 ]


    2 =2/[ ( 2- ) + 6 ]

    1) ← = + = 4+3= 7
    2) ← = = 4-3= 1-



  12. The Following User Says Thank You to For This Useful Post:

     (04-21-2015)

  13. Top | #8

  14. The Following 2 Users Say Thank You to For This Useful Post:

     (04-21-2015),  (04-21-2015)

  15. Top | #9

    Oct 2011
    491
    0.07
    367
    Thanked: 155

    :

    15 22

  16. Top | #10

  17. The Following User Says Thank You to For This Useful Post:

     (04-21-2015)

  18. Top | #11

: 1 (0 1 )


Powered by vBulletin® Version 4.2.3
Copyright © 2026 vBulletin Solutions, Inc. All rights reserved.
Translate By Almuhajir
Developed By Marco Mamdouh
Style
Zavord