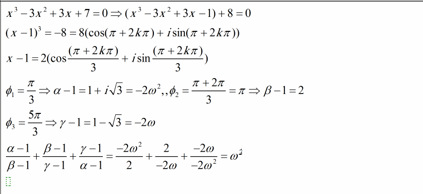
:
1 2 2

:

  1. Top | #1

    Jun 2013
    16609
    0.03
    162
    Thanked: 251


  2. The Following 2 Users Say Thank You to For This Useful Post:

     (10-24-2015),  (10-24-2015)

  3. Top | #2

    Oct 2011
    541
    0.58
    3,046
    Thanked: 2931

    :

    [URL="http://alnasiry.net/forums"][IMG]http://alnasiry.net/forums/uploaded/2_iraqiflag.gif[/IMG][/URL]


  4. The Following 3 Users Say Thank You to For This Useful Post:

     (10-25-2015),  (10-24-2015),  (10-24-2015)

: 1 (0 1 )


Powered by vBulletin® Version 4.2.3
Copyright © 2026 vBulletin Solutions, Inc. All rights reserved.
Translate By Almuhajir
Developed By Marco Mamdouh
Style
Zavord