:
2 2 12
13 21 21

:

  1. Top | #13

    Nov 2013
    17896
    0.14
    655
    Thanked: 1280

    :



    \[\huge {\color{Red} {\color{Red} \int \frac{sinx}{cosx(1+cos^2x)}dx}}\]

  2. The Following User Says Thank You to For This Useful Post:

     (06-28-2016)

  3. Top | #14

    Nov 2011
    1063
    0.22
    1,155
    Thanked: 503

    :


    y=cosx

  4. The Following 2 Users Say Thank You to For This Useful Post:

     (06-29-2016),  (06-28-2016)

  5. Top | #15

    May 2014
    19175
    ( )
    0.39
    1,725
    Thanked: 2677

    :


    $\LARGE {\color{DarkBlue} \int \frac{sinx}{cosx(1+cos^{2}x)}dx=\int \frac{tanx*sec^{2}x}{sec^{2}x+1}dx=\frac{1}{2}ln|s ec^{2}x+1|+c}$

  6. The Following 2 Users Say Thank You to For This Useful Post:

     (06-29-2016),  (06-28-2016)

  7. Top | #16

    Sep 2013
    17034
    0.29
    /
    1,349
    Thanked: 1595

    :


    $\int \frac{x^{2}}{1+x^{6}}dx$

    $=\frac{1}{3}\int \frac{3x^{2}}{1+(x^{3})^{2}}dx$

    $=\frac{1}{3}arctan(x^{3})+c$


  8. The Following 2 Users Say Thank You to For This Useful Post:

     (06-29-2016),  (07-02-2016)

  9. Top | #17

    Nov 2013
    17896
    0.14
    655
    Thanked: 1280

    :


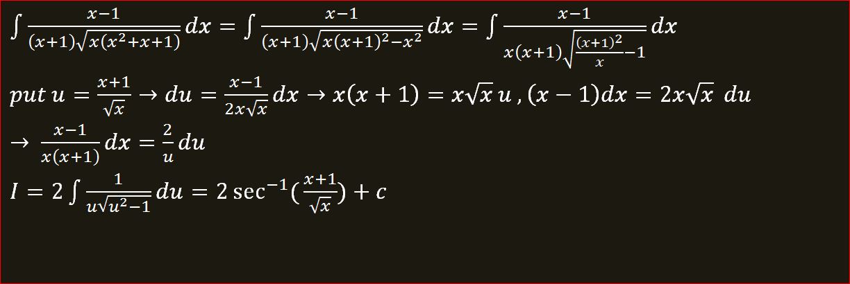
    \[\huge {\color{Red} {\color{Red} \int \frac{x-1}{(x+1)\sqrt{x(x^2+x+1)}}dx}}\]

  10. The Following 2 Users Say Thank You to For This Useful Post:

     (08-22-2016),  (07-02-2016)

  11. Top | #18

    Feb 2014
    18677
    ( )
    0.66
    2,925
    Thanked: 3605

    :

    ; 06-30-2016 02:29 PM

  12. Top | #19

    May 2014
    19175
    ( )
    0.39
    1,725
    Thanked: 2677

    :


  13. The Following 3 Users Say Thank You to For This Useful Post:

     (07-01-2016),  (06-30-2016),  (08-22-2016)

  14. Top | #20

    Nov 2013
    17896
    0.14
    655
    Thanked: 1280

    :



    \[\huge {\color{Red} {\color{Red} \int_{0}^{\pi }ln\frac{1+xcos\theta }{1-xcos\theta }\frac{d\theta }{cos\theta }such that\left | x \right |< 1}}\]

  15. The Following User Says Thank You to For This Useful Post:

     (07-02-2016)

  16. Top | #21

    Feb 2014
    18677
    ( )
    0.66
    2,925
    Thanked: 3605

    :


  17. The Following User Says Thank You to For This Useful Post:

     (07-02-2016)

2 2 12

: 1 (0 1 )


Powered by vBulletin® Version 4.2.3
Copyright © 2026 vBulletin Solutions, Inc. All rights reserved.
Translate By Almuhajir
Developed By Marco Mamdouh
Style
Zavord