آخر المشاركات

الزائر الكريم:تستطيع مشاهدة كل المواضيع بدون شرط العضوية لكن مشاركتك تحتاج عضوية المنتدى
النتائج 1 إلى 8 من 8
  1. Top | #1

    تاريخ التسجيل
    Feb 2011
    رقم العضوية
    2
    اللقب
    المدير العام للمنتدى
    معدل المشاركات
    1.64
    الدولة
    العراق 07701766668 / 07800055259
    المشاركات
    9,141
    Thanked: 7430

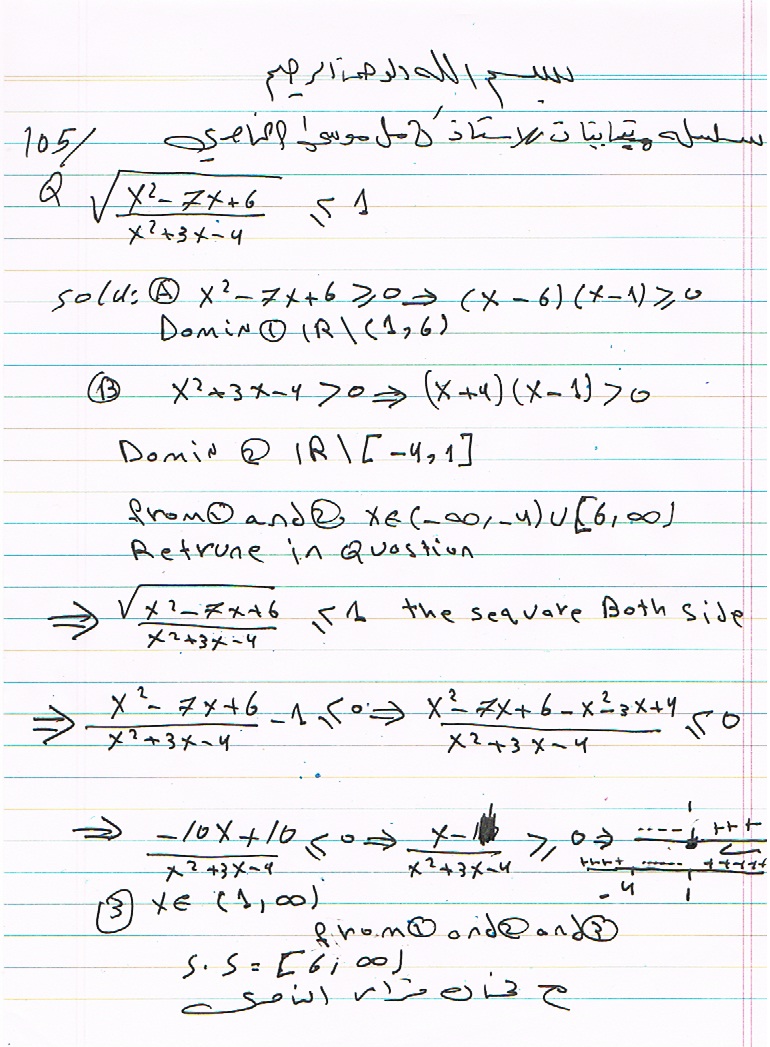
    Q105 : Irrational Inequality


  2. Top | #2

    تاريخ التسجيل
    Apr 2011
    رقم العضوية
    56
    اللقب
    مدرس
    معدل المشاركات
    0.32
    الدولة
    العراق - تكريت
    المشاركات
    1,790
    Thanked: 452
    اقتباس المشاركة الأصلية كتبت بواسطة كامل موسى الناصري مشاهدة المشاركة

  3. Top | #3

    تاريخ التسجيل
    Nov 2011
    رقم العضوية
    1406
    اللقب
    أستاذ متميـز ( خبير عام )
    معدل المشاركات
    0.16
    الدولة
    Egypte - Le Caire 00201005369925
    المشاركات
    867
    Thanked: 204

  4. Top | #4

    تاريخ التسجيل
    Feb 2011
    رقم العضوية
    2
    اللقب
    المدير العام للمنتدى
    معدل المشاركات
    1.64
    الدولة
    العراق 07701766668 / 07800055259
    المشاركات
    9,141
    Thanked: 7430

    شكر وتقدير

    سلامي للجميع
    اتمنى ممن يحب ان يتقن لعبة المتباينات أن يلاحق التفصيل الدقيق للاعب هذه اللعبة الا وهو استاذنا الكبير عمر محمود
    شكري وتقديري لاستاذنا الكبير.
    شكري وتقديري للاعب آخر لهذه اللعبة وهو الاستاذ فراس غسان الناصري.
    أما لاعبنا الاستاذ حاجم الربيعي فلقد أجادها بشكل لا يمكن وصفه
    دخل آخرون في هذه اللعبة مثل الاستاذ حاتم الراوي فشكرا له ، وشكرا لباقي الاعضاء الذين شاركونا فيها ولو بنسبة قليلة.
    أتمنى زيادة المشاركة أو الاستفسار حتى عن طريق المناقشة عن مسارات اللاعب (لماذا اتبع هذا الخط؟ كيف...؟)
    لعبة المتباينات يمكن أن تدخل في غالبية مواضيع الرياضيات وهذا سبب اهتمامنا الزائد بها.

  5. Top | #5

    تاريخ التسجيل
    Oct 2011
    رقم العضوية
    541
    اللقب
    عضو
    معدل المشاركات
    0.57
    المشاركات
    3,046
    Thanked: 2931

  6. Top | #6

    تاريخ التسجيل
    Apr 2011
    رقم العضوية
    56
    اللقب
    مدرس
    معدل المشاركات
    0.32
    الدولة
    العراق - تكريت
    المشاركات
    1,790
    Thanked: 452
    مبدع يا ابو مشرق

  7. Top | #7

    تاريخ التسجيل
    Feb 2011
    رقم العضوية
    3
    اللقب
    استاذ متميز
    معدل المشاركات
    0.47
    الدولة
    العراق - 07808582723
    المشاركات
    2,621
    Thanked: 719
    السلام وعليكم ورحمة الله وبركاته
    استاذي الناصري : فعلا تعتبر لعبة المتباينات وهذا وصف في الصميم
    اسمح لي استاذ ان اسميها ( تنشيط الدورة الدموية )

  8. Top | #8

    تاريخ التسجيل
    Feb 2011
    رقم العضوية
    2
    اللقب
    المدير العام للمنتدى
    معدل المشاركات
    1.64
    الدولة
    العراق 07701766668 / 07800055259
    المشاركات
    9,141
    Thanked: 7430


    المهم استاذي الكريم لا تنس المجال في بداية حل السؤال ، وقد يكون لك رأي آخر.

معلومات الموضوع

الأعضاء الذين يشاهدون هذا الموضوع

الذين يشاهدون الموضوع الآن: 1 (0 من الأعضاء و 1 زائر)

ضوابط المشاركة

  • لا تستطيع إضافة مواضيع جديدة
  • لا تستطيع الرد على المواضيع
  • لا تستطيع إرفاق ملفات
  • لا تستطيع تعديل مشاركاتك
  •  

مواضيع لم يتم الرد عليها


Powered by vBulletin® Version 4.2.3
Copyright © 2026 vBulletin Solutions, Inc. All rights reserved.
Translate By Almuhajir
Developed By Marco Mamdouh
Style
تطوير ودعم شركة Zavord