; 05-09-2013 01:51 PM
'
http://alnasiry.net/forums/search.php?searchid=583 2011 - 2012 ( 1) *** h1
; 05-09-2013 01:52 PM
Find the minimum
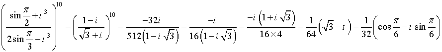
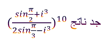
... ?
http://alnasiry.net/forums/search.php?searchid=583 ............... ( ) \ ### ### ( )
: 1 (0 1 )
Powered by vBulletin® Version 4.2.3 Copyright © 2026 vBulletin Solutions, Inc. All rights reserved. Translate By AlmuhajirDeveloped By Marco Mamdouh Style Zavord