:
1 9 9
  1. Top | #1

    Nov 2013
    17896
    0.14
    655
    Thanked: 1280

    / ......

    / ...... ( ......) ....
    ....




  2. The Following 2 Users Say Thank You to For This Useful Post:

     (03-04-2014),  (03-04-2014)

  3. Top | #2

    Oct 2011
    541
    0.57
    3,046
    Thanked: 2931

    : / ......

    [URL="http://alnasiry.net/forums"][IMG]http://alnasiry.net/forums/uploaded/2_iraqiflag.gif[/IMG][/URL]


  4. The Following User Says Thank You to For This Useful Post:

     (03-04-2014)

  5. Top | #3

    Nov 2013
    17896
    0.14
    655
    Thanked: 1280

    : / ......




    : d (difference)

  6. Top | #4

    Oct 2011
    541
    0.57
    3,046
    Thanked: 2931

    : / ......






    [URL="http://alnasiry.net/forums"][IMG]http://alnasiry.net/forums/uploaded/2_iraqiflag.gif[/IMG][/URL]


  7. Top | #5

    Nov 2013
    17896
    0.14
    655
    Thanked: 1280

    : / ......






    / ...
    ( ) (d)
    (A.S ) (d )

  8. The Following 2 Users Say Thank You to For This Useful Post:

     (03-08-2014),  (03-08-2014)

  9. Top | #6

    Oct 2011
    541
    0.57
    3,046
    Thanked: 2931

    : / ......

    / ...
    ( ) (d)
    (A.S ) (d )



    [URL="http://alnasiry.net/forums"][IMG]http://alnasiry.net/forums/uploaded/2_iraqiflag.gif[/IMG][/URL]


  10. Top | #7

    Nov 2013
    17896
    0.14
    655
    Thanked: 1280

    : / ......

    [B]
    /

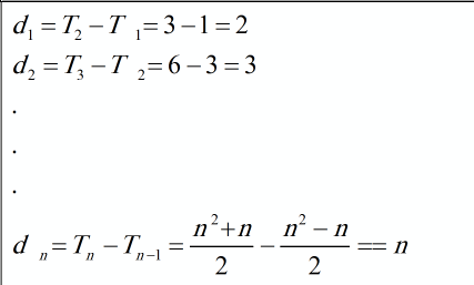
    (1,3,6,10,15 ...) (1-3 ) (3-6) ...
    ( a , a+d ,a+2d ,a+3d ...) (d)
    a a+d a+2d ( .....)

    / [/B]

  11. Top | #8

    Oct 2011
    541
    0.57
    3,046
    Thanked: 2931

    : / ......

    [B]
    /

    (1,3,6,10,15 ...) (1-3 ) (3-6) ...
    ( a , a+d ,a+2d ,a+3d ...) (d)
    a a+d a+2d ( .....)

    / [/B]
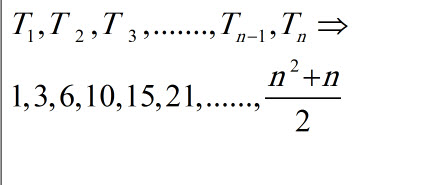
    ( ) T1,T2,T3....... U1,U2,U3,.....

    https://ar.wikipedia.org/wiki/%D8%B9...84%D8%AB%D9%8A
    [URL="http://alnasiry.net/forums"][IMG]http://alnasiry.net/forums/uploaded/2_iraqiflag.gif[/IMG][/URL]


  12. Top | #9

    Nov 2013
    17896
    0.14
    655
    Thanked: 1280

    : / ......

    ( ) t1,t2,t3....... u1,u2,u3,.....

    https://ar.wikipedia.org/wiki/%d8%b9...84%d8%ab%d9%8a

    /

    t1,t2,t3....... u1,u2,u3,.....

    ( )

  13. The Following 2 Users Say Thank You to For This Useful Post:

     (03-09-2014),  (03-10-2014)

: 1 (0 1 )


Powered by vBulletin® Version 4.2.3
Copyright © 2026 vBulletin Solutions, Inc. All rights reserved.
Translate By Almuhajir
Developed By Marco Mamdouh
Style
Zavord