:
  1. Top | #1

    Feb 2011
    2
    1.64
    07701766668 / 07800055259
    9,141
    Thanked: 7430

    Inequality 150


    ; 12-31-2020 09:12 PM

  2. Top | #2

    Nov 2011
    1406
    ( )
    0.16
    Egypte - Le Caire 00201005369925
    867
    Thanked: 204

  3. The Following User Says Thank You to For This Useful Post:

     (09-17-2015)

  4. Top | #3

    Apr 2011
    56
    0.32
    -
    1,790
    Thanked: 452

  5. Top | #4

    Feb 2011
    2
    1.64
    07701766668 / 07800055259
    9,141
    Thanked: 7430

    Q190.Inequality


  6. Top | #5

    Feb 2011
    2
    1.64
    07701766668 / 07800055259
    9,141
    Thanked: 7430

  7. The Following User Says Thank You to For This Useful Post:

     (01-13-2016)

  8. Top | #6

    Apr 2012
    14850
    0.20
    ------ 01117317850
    1,048
    Thanked: 1429

    ( )

    () ()=0 () 2

  9. The Following User Says Thank You to For This Useful Post:

     (09-17-2015)

  10. Top | #7

    Feb 2011
    2
    1.64
    07701766668 / 07800055259
    9,141
    Thanked: 7430


  11. Top | #8

    Apr 2012
    14850
    0.20
    ------ 01117317850
    1,048
    Thanked: 1429

    (-1
    5)

  12. Top | #9

    Apr 2012
    14850
    0.20
    ------ 01117317850
    1,048
    Thanked: 1429
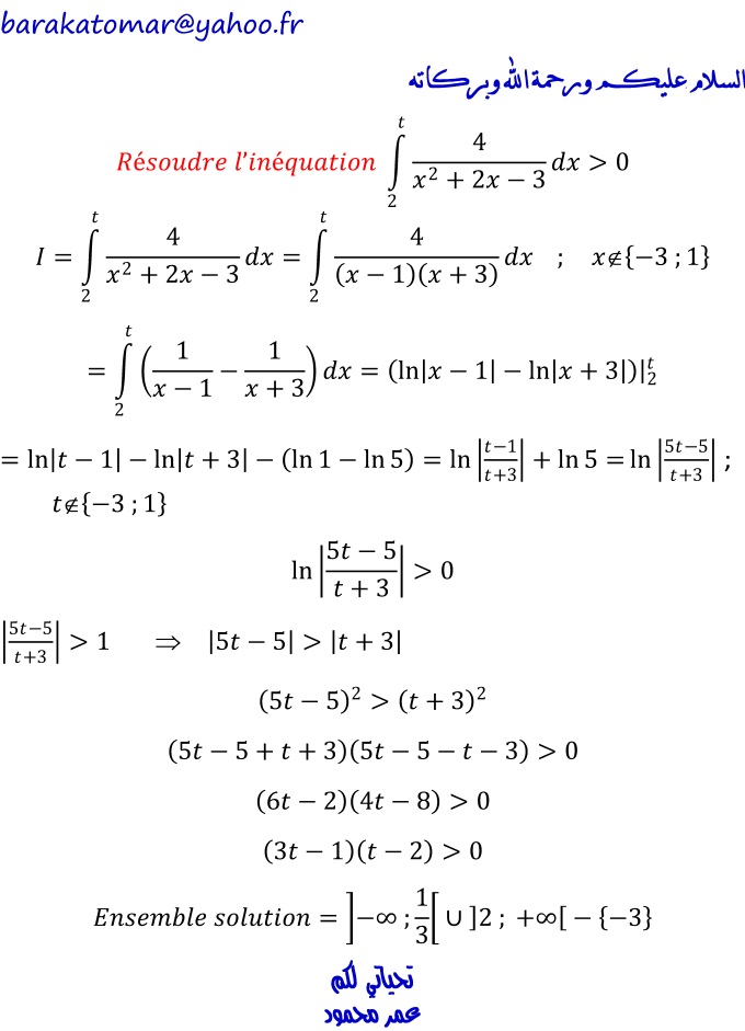
    [IMG][/IMG]

  13. Top | #10

    Feb 2011
    2
    1.64
    07701766668 / 07800055259
    9,141
    Thanked: 7430

    Q192.Inequality


  14. Top | #11

    Apr 2012
    14850
    0.20
    ------ 01117317850
    1,048
    Thanked: 1429


    [IMG][/IMG]
    ; 12-30-2012 01:08 AM

  15. The Following User Says Thank You to For This Useful Post:

     (05-27-2023)

  16. Top | #12

    Feb 2011
    2
    1.64
    07701766668 / 07800055259
    9,141
    Thanked: 7430


    k x

1 33 123456789101112131415161718192021222324252627282930313233

: 7 (0 7 )


Powered by vBulletin® Version 4.2.3
Copyright © 2026 vBulletin Solutions, Inc. All rights reserved.
Translate By Almuhajir
Developed By Marco Mamdouh
Style
Zavord