
-
-
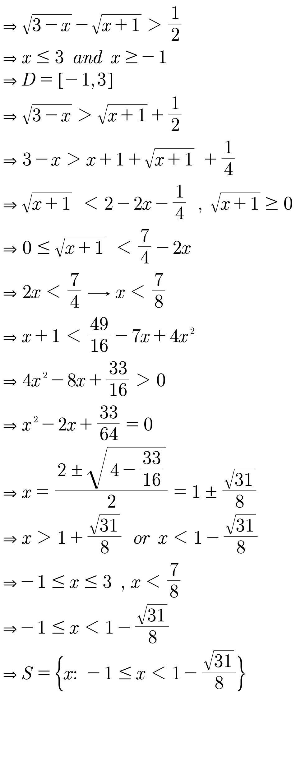
- Inequality 150
:
-
04-28-2022, 04:04 AM
Top |
#385
-
-
04-30-2022, 11:08 AM
Top |
#386
-
The Following User Says Thank You to For This Useful Post:
-
05-12-2022, 01:29 PM
Top |
#387
-
The Following User Says Thank You to For This Useful Post:
-
05-13-2022, 06:55 PM
Top |
#388
-
Powered by vBulletin® Version 4.2.3
Copyright © 2026 vBulletin Solutions, Inc. All rights reserved.
Translate By
Almuhajir
Developed By Marco Mamdouh
Style
Zavord